文章

337

粉丝

0

获赞

0

访问

131.2k

头像
2008年考研数学(二)考试试题 - 第17题回答
高等数学
发布于2025年10月20日 11:51
阅读数 626


评分及理由

(1)得分及理由(满分10分)

学生作答提供了两次识别结果,其中第一次识别结果存在一些书写不规范和步骤跳跃,但第二次识别结果给出了完整的解题过程,思路正确且与标准答案一致。具体分析如下:

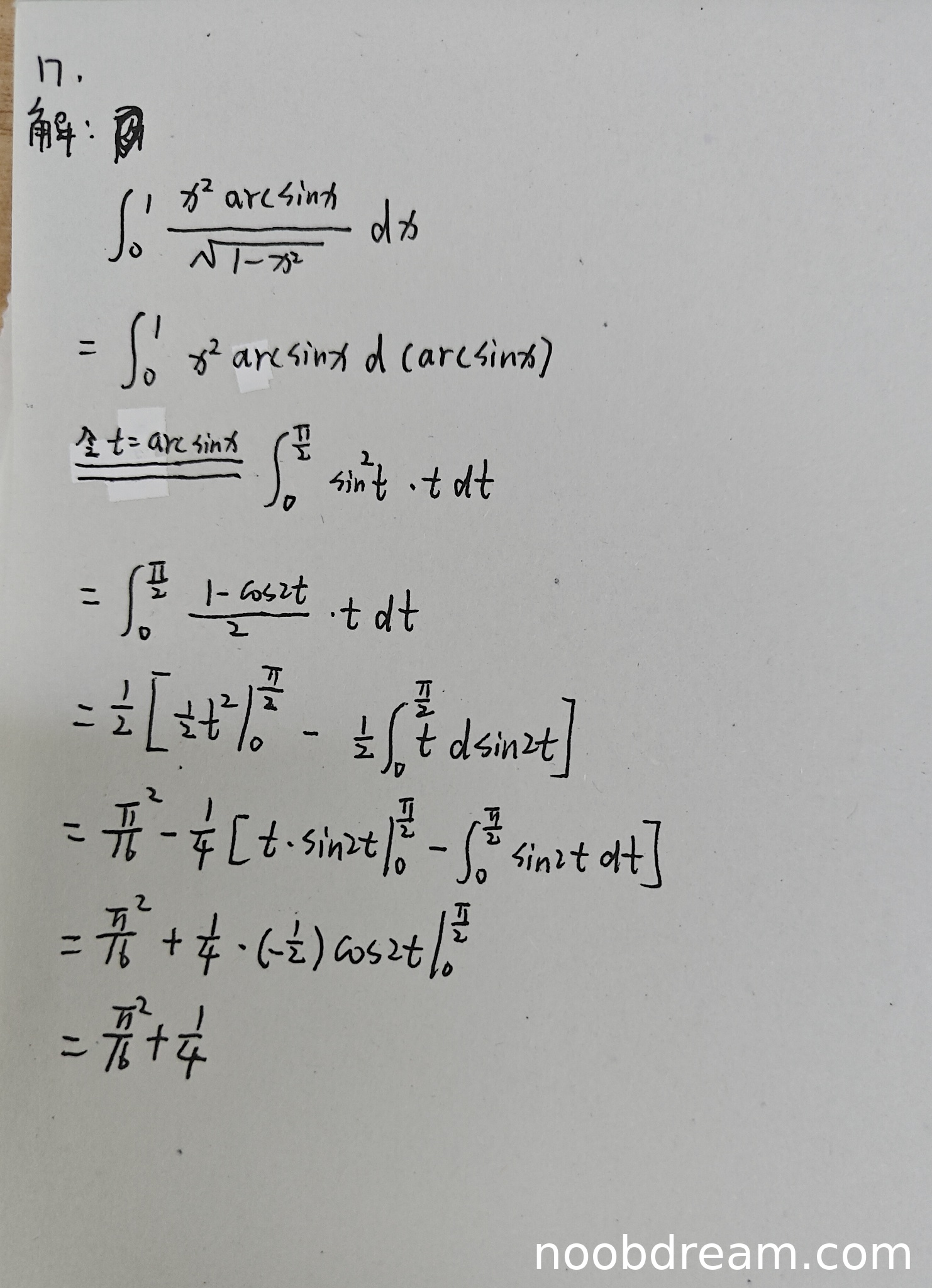
  • 换元步骤正确:令 \( t = \arcsin x \),将积分转化为 \( \int_{0}^{\frac{\pi}{2}} \sin^2 t \cdot t \, dt \),与标准答案一致。
  • 三角函数化简正确:使用 \( \sin^2 t = \frac{1 - \cos 2t}{2} \) 将积分拆分为 \( \frac{1}{2} \int_{0}^{\frac{\pi}{2}} t \, dt - \frac{1}{2} \int_{0}^{\frac{\pi}{2}} t \cos 2t \, dt \),与标准答案一致。
  • 计算 \( \frac{1}{2} \int_{0}^{\frac{\pi}{2}} t \, dt \) 正确:得到 \( \frac{\pi^2}{16} \)。
  • 计算 \( \frac{1}{2} \int_{0}^{\frac{\pi}{2}} t \cos 2t \, dt \) 正确:使用分部积分法,最终得到 \( -\frac{1}{4} \)。
  • 最终结果正确:\( \frac{\pi^2}{16} + \frac{1}{4} \),与标准答案一致。

尽管第一次识别结果中有一些步骤跳跃(如直接写出 \( \frac{1}{2} \left[ \frac{1}{2} t^2 \big|_{0}^{\frac{\pi}{2}} - \frac{1}{2} \int_{0}^{\frac{\pi}{2}} t \, d \sin 2t \right] \)),但第二次识别结果完整且逻辑清晰,无逻辑错误。根据评分要求,思路正确且计算无误,不扣分。

得分:10分

题目总分:10分

登录查看完整内容


登录后发布评论

暂无评论,来抢沙发