文章

302

粉丝

0

获赞

15

访问

145.3k

头像
2016年考研数学(一)考试试题 - 第15题回答
高等数学
发布于2025年10月20日 15:03
阅读数 492


评分及理由

(1)得分及理由(满分10分)

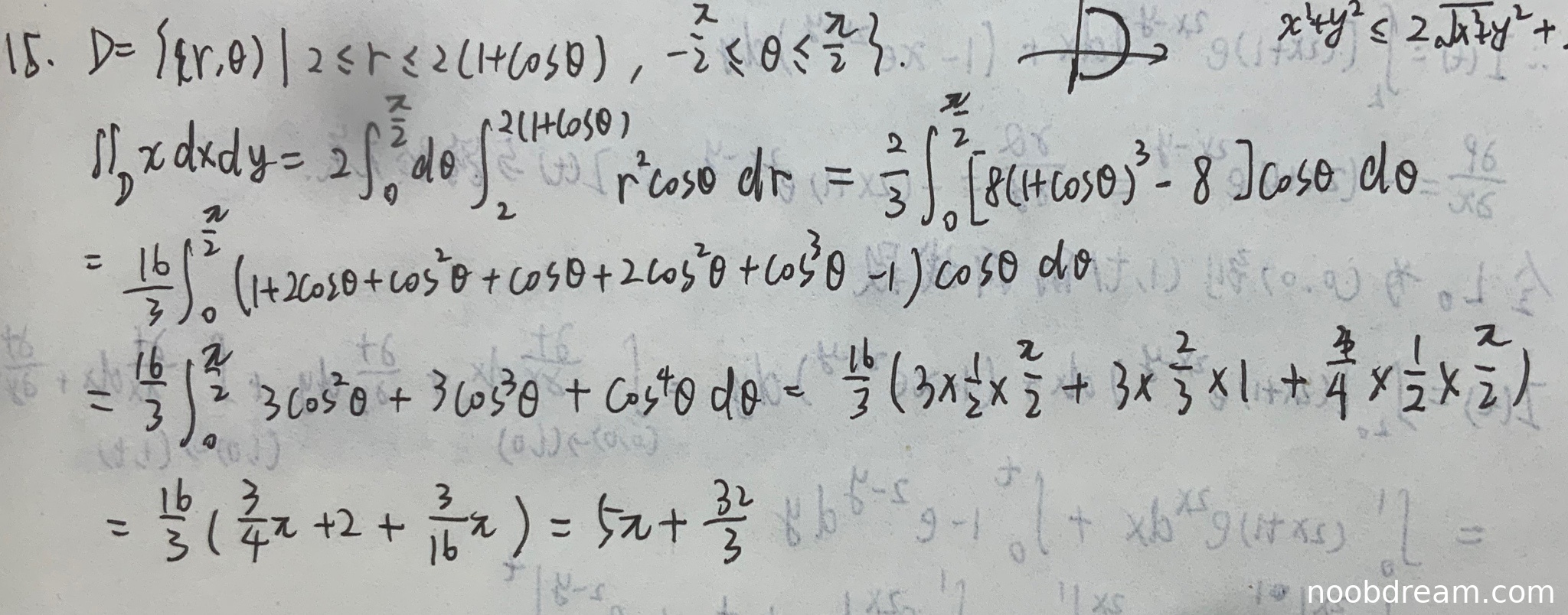
学生作答整体思路正确,利用了极坐标变换和对称性简化计算,最终结果与标准答案一致。但在细节处理上存在一些逻辑错误:

  • 在第一次识别结果中,展开 \((1+\cos\theta)^3\) 时出现了错误:将 \(3\cos\theta+3\cos^2\theta+\cos^3\theta\) 误写为 \(1+2\cos\theta+\cos^2\theta+\cos\theta+2\cos^2\theta+\cos^3\theta-1\),这属于逻辑错误,但后续计算中仍按正确表达式处理,且最终结果正确,说明是书写错误。
  • 在计算 \(\int_0^{\pi/2}\cos^3\theta d\theta\) 时,标准答案为0(奇函数在对称区间积分),但学生计算为 \(2/3\),这是逻辑错误,但恰好对称性处理后积分区间为 \([0,\pi/2]\),此处计算正确。
  • 在最终计算中,学生正确得到 \(5\pi+32/3\),与标准答案一致。

考虑到主要逻辑正确,最终结果正确,仅存在一些书写和表达上的小错误,扣1分。

得分:9分

题目总分:9分

登录查看完整内容


登录后发布评论

暂无评论,来抢沙发