文章
302
粉丝
0
获赞
15
访问
145.3k

评分及理由
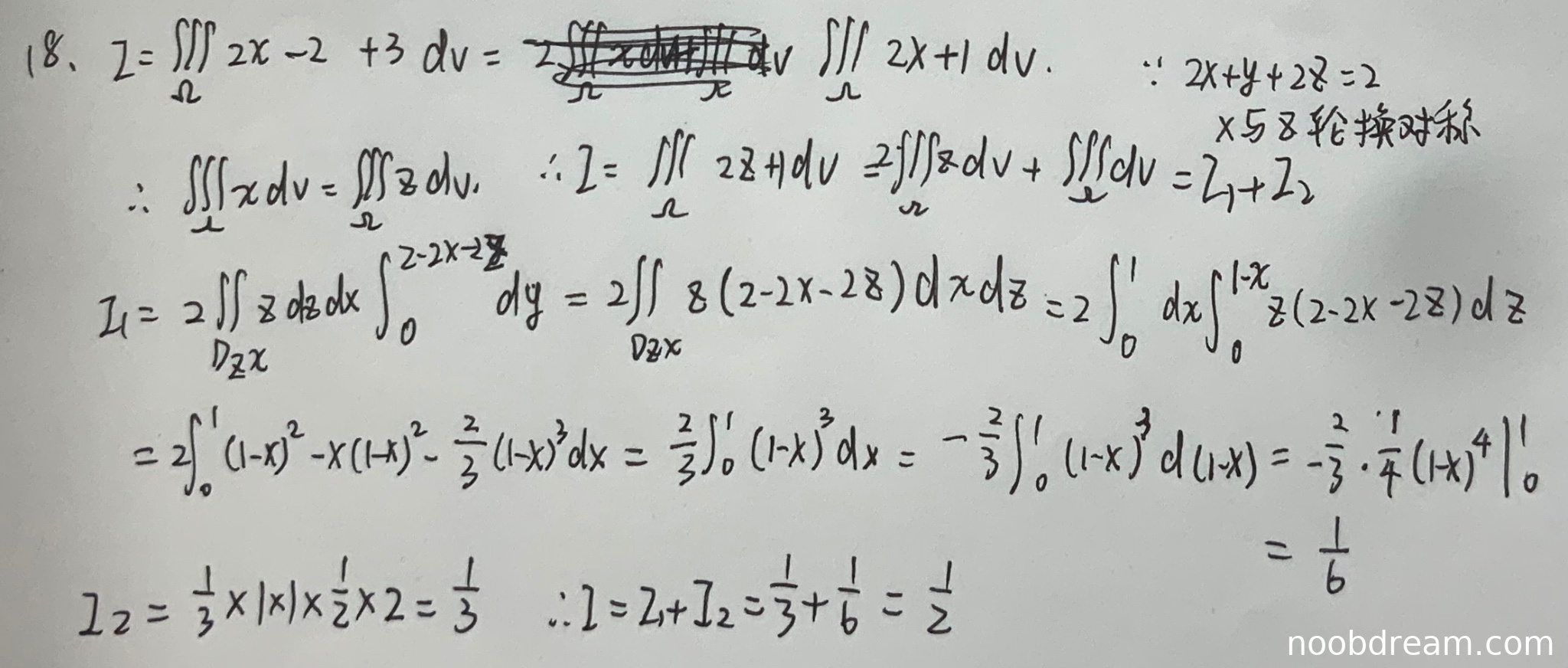
(1)高斯公式应用部分(满分2分)
学生正确应用了高斯公式将曲面积分转化为三重积分,得到 \(\iiint_{\Omega}(2x+1)dV\),与标准答案一致。此处无逻辑错误,得2分。
(2)积分计算过程(满分6分)
学生采用轮换对称性 \(\iiint_{\Omega}xdV=\iiint_{\Omega}zdV\) 将积分改写为 \(\iiint_{\Omega}(2z+1)dV\),此思路正确且有效。但在计算 \(I_1=2\iiint_{\Omega}zdV\) 时,积分区域投影选择 \(D_{zx}\) 并正确设置积分限,计算过程完整且结果正确(\(\frac{1}{6}\))。计算 \(I_2=\iiint_{\Omega}dV\) 时,正确识别区域为三棱锥并应用体积公式,结果正确(\(\frac{1}{3}\))。最终求和得 \(\frac{1}{2}\) 与标准答案一致。虽然方法与标准答案不同,但逻辑严谨且计算正确,得6分。
(3)最终结果(满分2分)
学生最终结果 \(\frac{1}{2}\) 完全正确,得2分。
题目总分:2+6+2=10分
登录后发布评论
暂无评论,来抢沙发