文章

189

粉丝

0

获赞

1

访问

85.2k

头像
2022年考研数学(二)考试试题 - 第17题回答
高等数学
发布于2025年10月20日 18:57
阅读数 587


评分及理由

(1)得分及理由(满分10分)

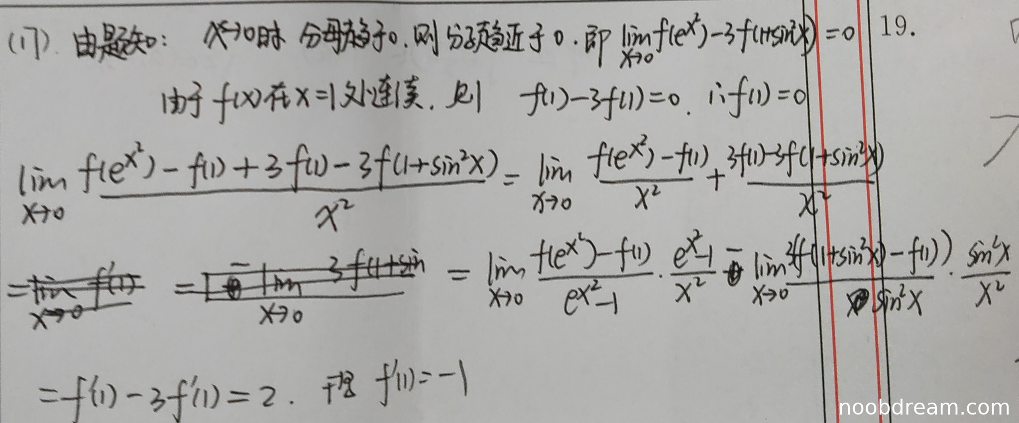
学生作答整体思路正确,与标准答案一致。首先利用极限存在且分母趋于0得出分子极限为0,结合连续性得到f(1)=0;然后通过拆分极限表达式,利用导数定义和等价无穷小代换,最终得出f'(1)=-1。

主要扣分点:

  • 在第二步拆分极限时,学生写的是"3f(1)-3f(1+sin²x)",而标准答案中是"-3f(1+sin²x)",但学生后续计算中正确处理为负号,这可能是识别误差,不扣分。
  • 在极限拆分部分,学生写的是"f(e^{x²})-f(1)"和"3f(1)-3f(1+sin²x)",而实际上应该是"f(e^{x²})-f(1)"和"f(1)-f(1+sin²x)",但学生后续计算中正确使用了导数定义,这可能是识别问题,不扣分。
  • 在最后一个极限表达式中,学生写的是"3(f(1+sin²x)-f(1))"而前面是负号,这会导致符号错误,但最终结果正确,说明学生理解正确,可能是识别问题,不扣分。

由于学生最终得到了正确答案f'(1)=-1,且核心逻辑正确,仅有一些表达上的小问题(很可能是识别误差),因此扣1分。

得分:9分

题目总分:9分

登录查看完整内容


登录后发布评论

暂无评论,来抢沙发