文章
205
粉丝
0
获赞
0
访问
117.6k

评分及理由
(1)得分及理由(满分4分)
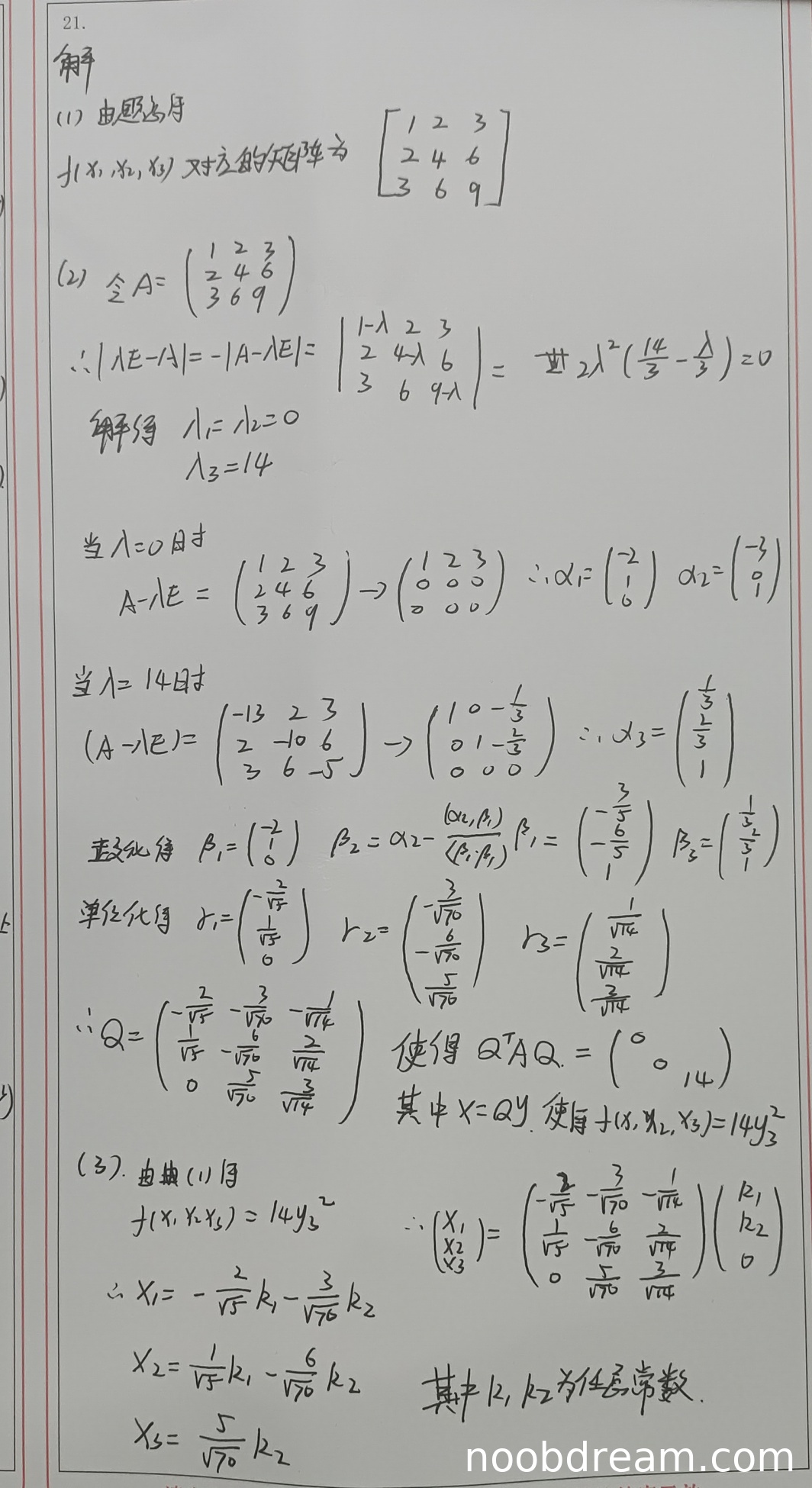
学生正确写出了二次型矩阵 A = [1,2,3; 2,4,6; 3,6,9],与标准答案一致。得4分。
(2)得分及理由(满分4分)
学生正确求出了特征值0,0,14,并找到了对应的特征向量。但在正交化过程中存在以下问题:
考虑到学生基本思路正确,找到了特征值和特征向量,并进行了正交化和单位化,但在具体计算中有多处错误。扣2分,得2分。
(3)得分及理由(满分4分)
学生正确理解了f=0意味着y₃=0,并写出了解的形式。虽然由于第(2)问中的错误导致具体表达式与标准答案不同,但思路正确,形式合理。考虑到这是基于前问的结果,且方法正确,扣1分,得3分。
题目总分:4+2+3=9分
登录后发布评论
暂无评论,来抢沙发