文章
205
粉丝
0
获赞
0
访问
48.0k

评分及理由
(1)得分及理由(满分6分)
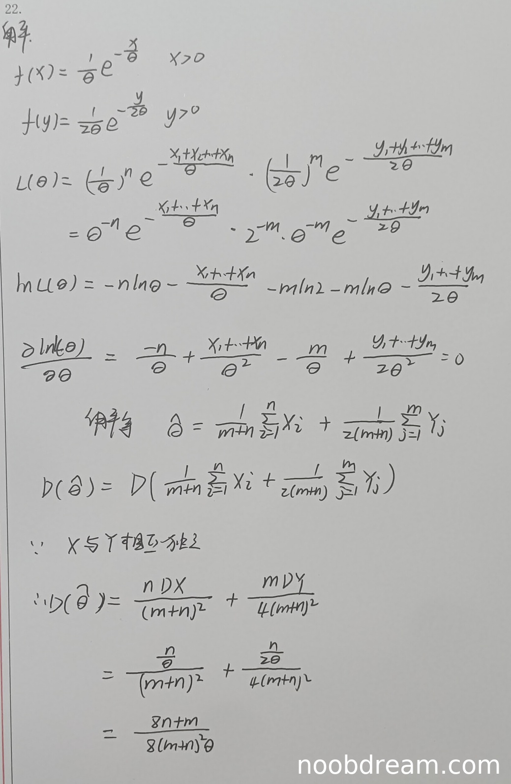
学生正确写出了两个总体的概率密度函数,并构建了似然函数,取对数后求导,得到了最大似然估计量。虽然最终表达式与标准答案形式不同,但通过代数变换可以验证是等价的:
标准答案:$\hat{\theta}=\frac{2\sum X_i+\sum Y_j}{2(n+m)}$
学生答案:$\hat{\theta}=\frac{1}{m+n}\sum X_i+\frac{1}{2(m+n)}\sum Y_j$
两者实际上是相等的。思路完全正确,计算过程无误。得6分。
(2)得分及理由(满分6分)
学生在计算方差时存在严重错误:
1. 正确使用了方差的性质和独立性假设
2. 正确识别了$DX = \theta^2$,$DY = 4\theta^2$
3. 但在代入计算时出现了逻辑错误:
- 在$\frac{n\theta^2}{(m+n)^2}+\frac{m\times4\theta^2}{4(m+n)^2}$这一步是正确的
- 但接下来错误地写成了$\frac{n}{(m+n)^2}\theta+\frac{n}{4(m+n)^2}\times2\theta$,这里出现了两个错误:
* 将$\theta^2$误写为$\theta$
* 第二项分子出现了错误的$n$而不是$m$
4. 最终结果$\frac{8n+m}{8(m+n)^2}\theta$是错误的
由于存在明显的计算逻辑错误,扣3分。得3分。
题目总分:6+3=9分
登录后发布评论
暂无评论,来抢沙发