文章
302
粉丝
0
获赞
15
访问
145.4k

评分及理由
(1)得分及理由(满分5分)
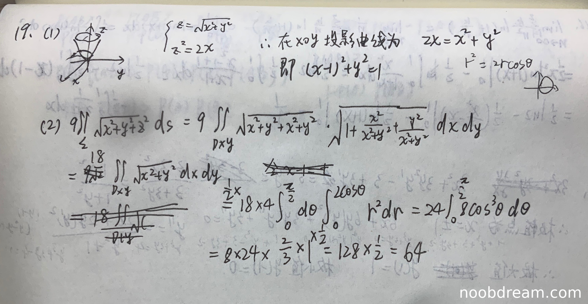
学生正确给出了投影曲线的方程 \((x-1)^2+y^2=1\) 和极坐标形式 \(r=2\cos\theta\),思路和结果与标准答案一致。虽然第一次识别中写的是 \(r^2=2r\cos\theta\)(应为 \(r=2\cos\theta\)),但根据上下文判断为书写或识别误差,不影响核心逻辑。因此得5分。
(2)得分及理由(满分5分)
学生正确设置了曲面积分 \(9\iint_{\Sigma}\sqrt{x^2+y^2+z^2}dS\),并利用圆锥面方程化简被积函数为 \(18\iint_{D_{xy}}\sqrt{x^2+y^2}dxdy\),与标准答案一致。但在极坐标计算中:
尽管最终结果正确(64),但积分区域设置错误和中间计算步骤存在多处逻辑错误,扣2分。得3分。
题目总分:5+3=8分
登录后发布评论
暂无评论,来抢沙发