文章

509

粉丝

0

获赞

1

访问

202.6k

头像
2016年考研数学(二)考试试题 - 第15题回答
高等数学
发布于2025年10月21日 19:05
阅读数 585


评分及理由

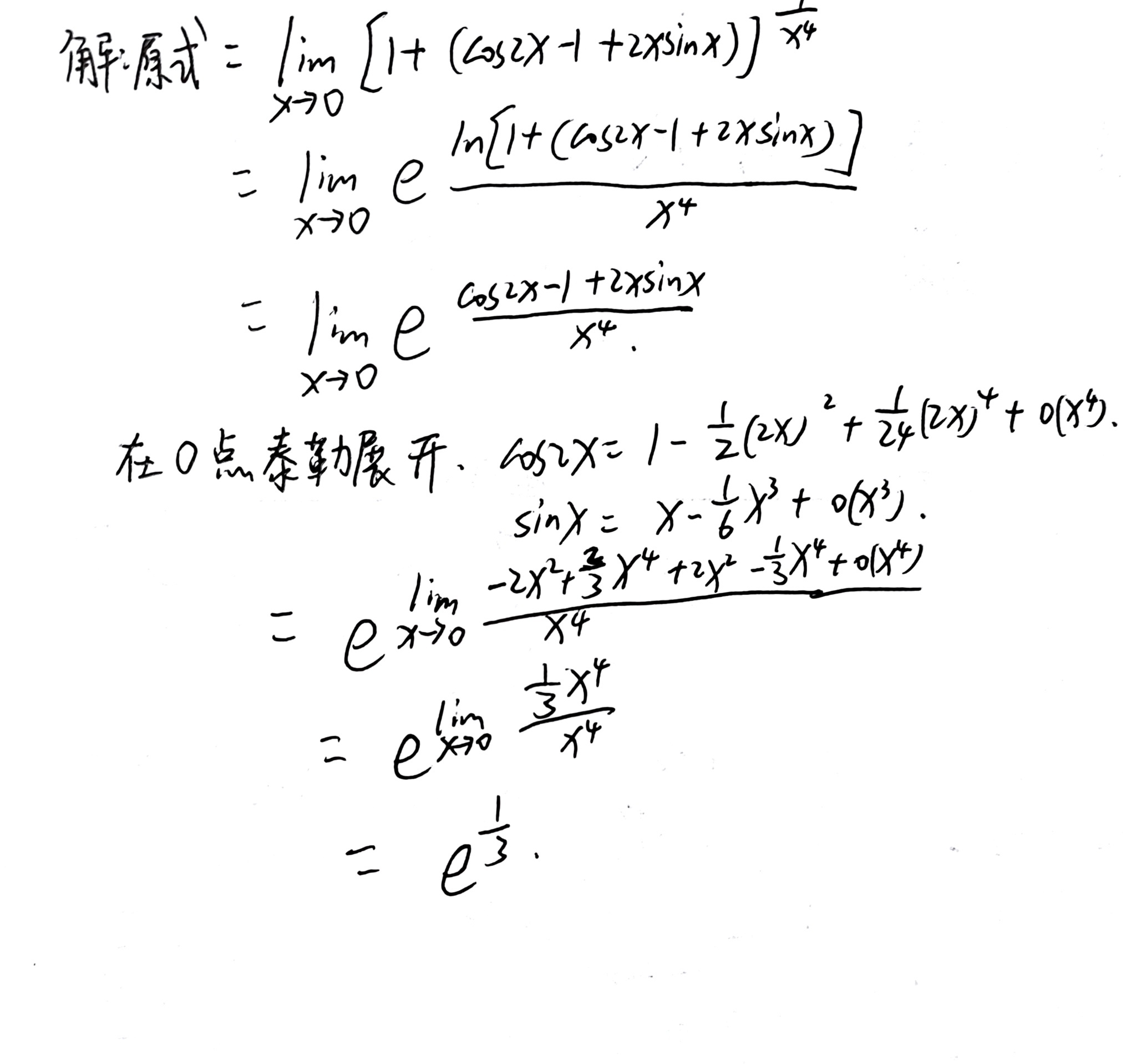
(1)得分及理由(满分10分)

学生作答在两次识别中均正确。第一次识别中,学生使用了等价无穷小替换(ln(1+u) ~ u)和泰勒展开,计算过程清晰,最终得到正确结果e^(1/3)。第二次识别更详细地展示了变形、等价替换和泰勒展开的步骤,逻辑完整。虽然第一次识别中泰勒展开的余项写为o(x^5)(应为o(x^4)),但实际计算中只用到x^4项,未影响结果,属于轻微笔误,不扣分。整体思路与标准答案一致,计算准确。

题目总分:10分

登录查看完整内容


登录后发布评论

暂无评论,来抢沙发