文章

509

粉丝

0

获赞

1

访问

202.6k

头像
2016年考研数学(二)考试试题 - 第18题回答
高等数学
发布于2025年10月21日 19:05
阅读数 507


评分及理由

(1)得分及理由(满分10分)

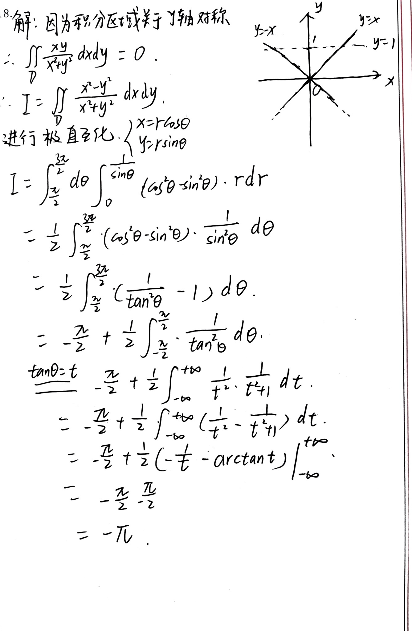
学生作答的整体思路正确:首先利用积分区域关于y轴对称的性质,得出被积函数中关于xy的奇函数部分积分为0,从而简化了被积函数。然后采用极坐标变换进行计算,这是处理此类问题的常见方法。

但是存在以下逻辑错误:

  1. 在极坐标变换后,对θ的积分范围判断错误。区域D由y=1, y=x, y=-x围成,对应θ的范围应为[π/4, 3π/4],而不是[π/2, 3π/2]。
  2. r的积分上限应为1/sinθ,但在θ∈[π/2, 3π/2]时,sinθ有正有负,这会导致计算错误。
  3. 在计算过程中,从∫(1/tan²θ-1)dθ到下一步时,积分限从[π/2, 3π/2]变为[-π/2, π/2],这一变化没有合理解释。
  4. 最终计算结果为-π,与正确答案1-π/2不符。

由于存在多处逻辑错误导致最终结果错误,但基本思路正确,扣除6分,得4分。

题目总分:4分

登录查看完整内容


登录后发布评论

暂无评论,来抢沙发