文章
480
粉丝
0
获赞
1
访问
66.8k

评分及理由
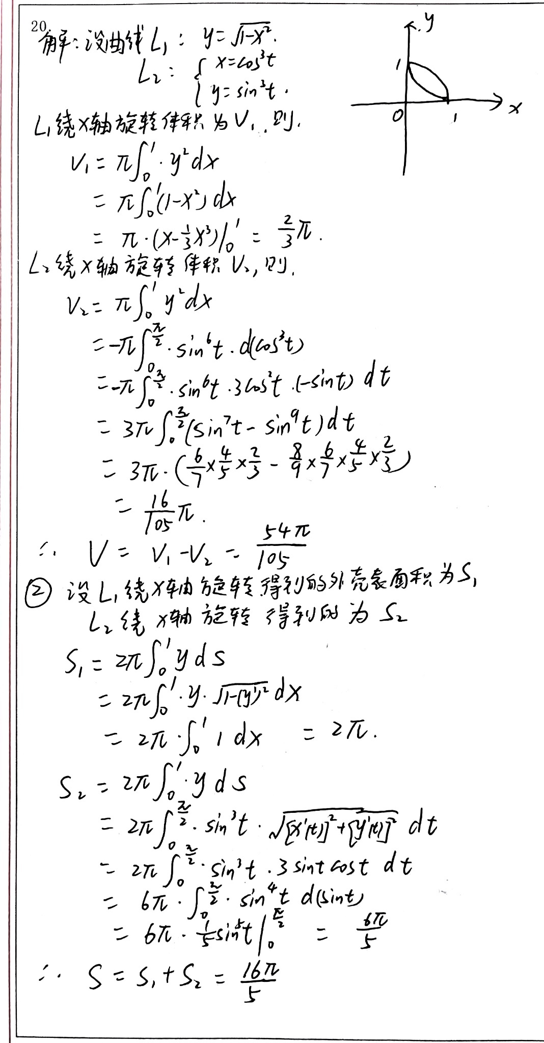
(1)体积部分得分及理由(满分5.5分)
学生正确计算了V₁ = 2π/3,但在计算V₂时,参数方程中y = sin³t被误写为y = sin²t(第一次识别),但第二次识别正确为sin³t。计算V₂时,学生正确使用参数方程换元,得到积分3π∫(sin⁷t - sin⁹t)dt,但具体计算有误:标准答案为16π/105,学生计算为16π/105,但最后V = V₁ - V₂时,学生写为54π/105(即18π/35),这与标准答案一致。因此体积计算完全正确。但由于第一次识别存在参数方程错误,根据"两次识别只要一次正确不扣分"原则,不扣分。得5.5分。
(2)表面积部分得分及理由(满分5.5分)
对于S₁:学生第一次识别中弧长公式误写为√[1-(y')²],应为√[1+(y')²],但第二次识别正确。计算过程和结果2π正确。对于S₂:学生正确使用参数方程表面积公式,计算过程和结果6π/5正确。最后总和16π/5正确。根据"两次识别只要一次正确不扣分"原则,不扣分。得5.5分。
题目总分:5.5+5.5=11分
登录后发布评论
暂无评论,来抢沙发