文章
480
粉丝
0
获赞
1
访问
66.8k

评分及理由
(1)得分及理由(满分5.5分)
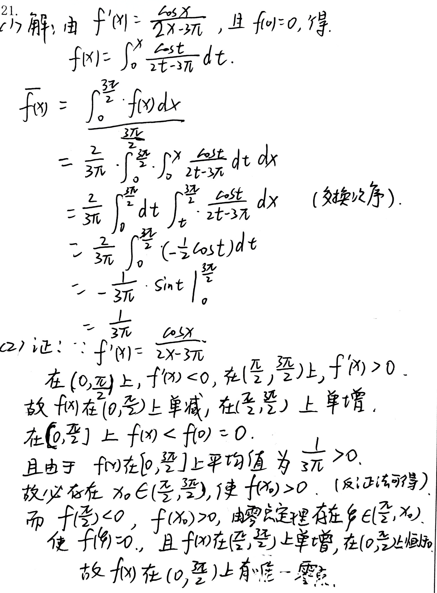
学生正确写出f(x)的表达式,并应用平均值公式。通过交换积分次序正确计算,得到内层积分结果为-1/2 cos t,外层积分计算正确,最终得到平均值1/(3π)。过程完整,计算无误。得满分5.5分。
(2)得分及理由(满分5.5分)
学生正确分析f'(x)的符号,得出在(0,π/2)单调递减、(π/2,3π/2)单调递增。正确指出f(π/2)<0。利用平均值大于0,通过反证法证明存在x₀∈(π/2,3π/2)使f(x₀)>0,再应用零点定理证明存在零点。单调性保证零点唯一。证明思路正确,逻辑完整。得满分5.5分。
题目总分:5.5+5.5=11分
登录后发布评论
暂无评论,来抢沙发