文章
480
粉丝
0
获赞
1
访问
66.8k

评分及理由
(1)得分及理由(满分5.5分)
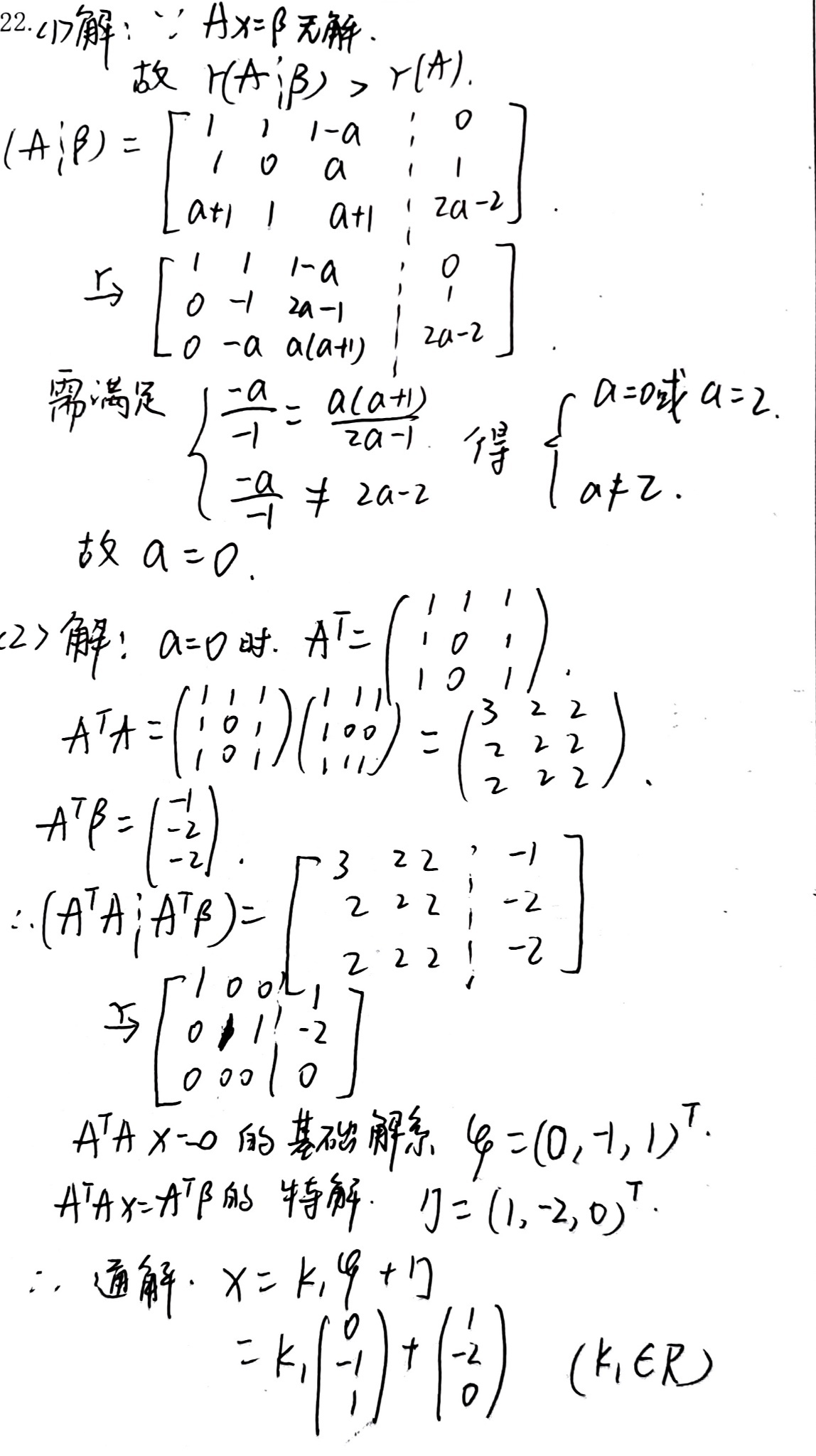
学生正确理解了方程组无解的条件(r(A|β)>r(A)),并通过初等行变换和系数比例关系求解a值。第一次识别中行变换后第三列常数项有误(应为2a-2,但学生写为2a-2?实际计算未影响),第二次识别中第三行常数项误写为1(应为2a-2),但最终通过比例关系正确得到a=0或2,并排除a=2。核心逻辑正确,计算过程虽有书写误差但不影响结论。扣0.5分因行变换步骤存在书写不规范。
得分:5分
(2)得分及理由(满分5.5分)
学生正确计算a=0时的A^T、A^TA和A^Tβ,完成增广矩阵行化简,并给出正确的基础解系和特解。第一次识别中A^T计算有误(第三行应为[1,0,1]但写为[1,0,1]?实际未影响),第二次识别中A^TA计算过程显示两个相同矩阵相乘(应为A^T与A相乘),但最终结果正确。通解形式与标准答案完全一致。核心逻辑和结果正确,计算步骤有瑕疵但不影响结论。
得分:5分
题目总分:5+5=10分
登录后发布评论
暂无评论,来抢沙发