文章
480
粉丝
0
获赞
1
访问
66.8k

评分及理由
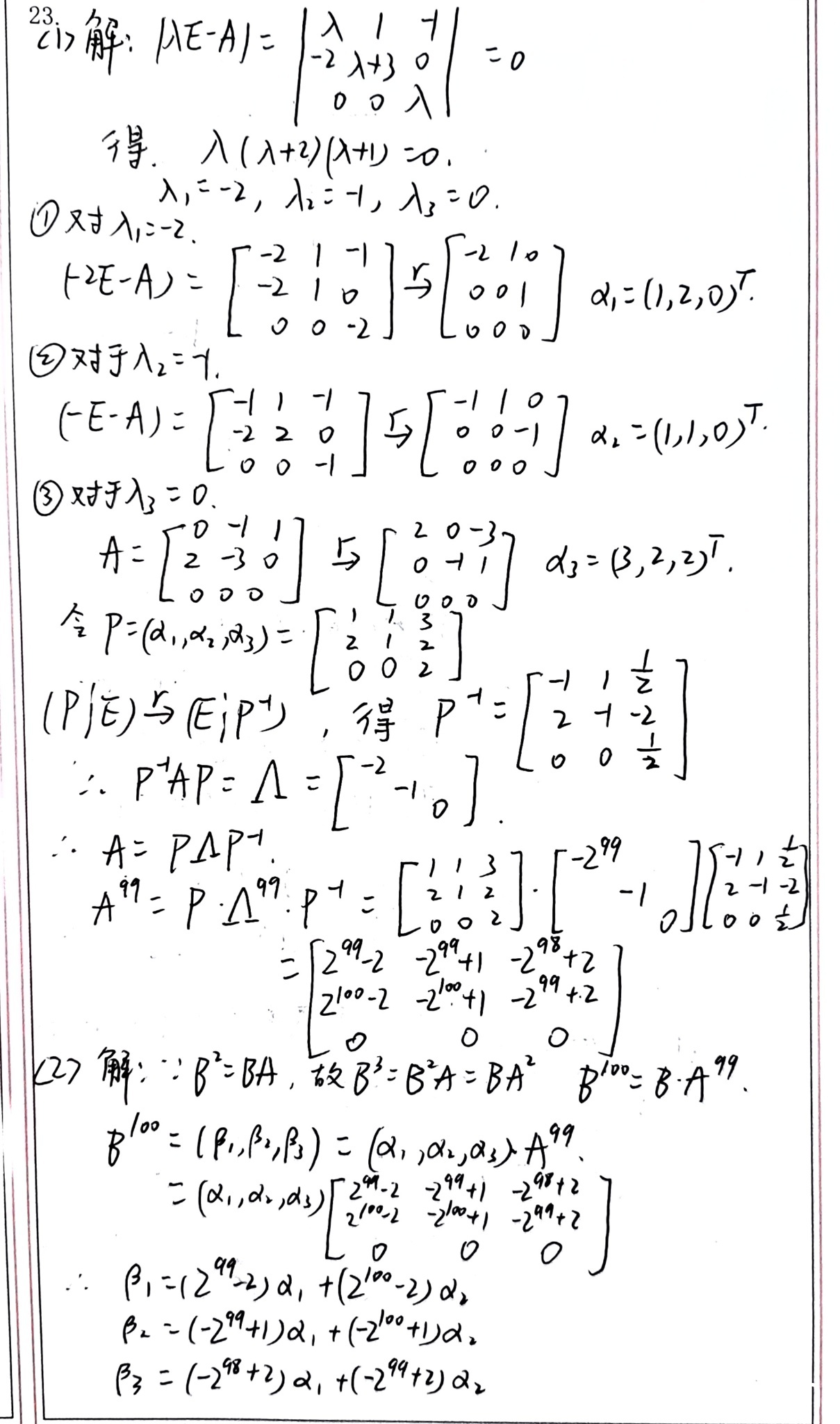
(1)得分及理由(满分6分)
学生正确求出了特征值(λ₁=-2, λ₂=-1, λ₃=0)和特征向量,并构造了可逆矩阵P。在计算A⁹⁹时,思路正确(使用相似对角化方法),但最终结果存在计算错误:
由于存在一处实质性计算错误,扣2分。得4分。
(2)得分及理由(满分5分)
学生正确推导出B¹⁰⁰ = BA⁹⁹的关系,并将β₁,β₂,β₃表示为α₁,α₂,α₃的线性组合。但因其继承第(1)问中A⁹⁹的计算错误,导致β₃的系数错误。由于本小题推导过程完全正确,仅因前问结果错误导致系数错误,扣1分。得4分。
题目总分:4+4=8分
登录后发布评论
暂无评论,来抢沙发