文章
134
粉丝
0
获赞
1
访问
16.6k

评分及理由
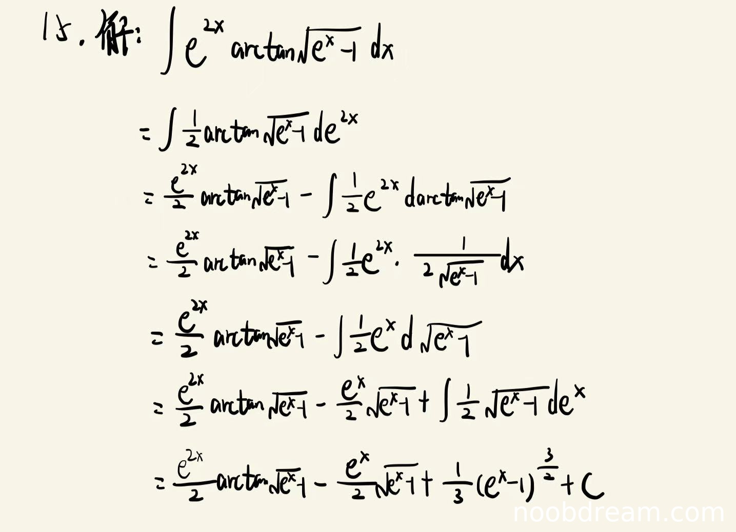
(1)分部积分法应用(满分2分)
学生正确使用了分部积分法,设u=arctan√(e^x-1),dv=e^(2x)dx,步骤与标准答案一致。得2分。
(2)微分计算(满分3分)
在计算d(arctan√(e^x-1))时,学生写成了1/(2√(e^x-1)),缺少了e^x/(1+(e^x-1))这个关键因子,这是严重的逻辑错误。扣2分,得1分。
(3)积分计算(满分5分)
由于第(2)步的错误导致后续积分表达式错误。虽然学生后续的积分步骤在形式上是正确的,但因为被积函数错误,整个积分计算过程无效。扣4分,得1分。
题目总分:2+1+1=4分
登录后发布评论
暂无评论,来抢沙发