文章
134
粉丝
0
获赞
1
访问
16.6k

评分及理由
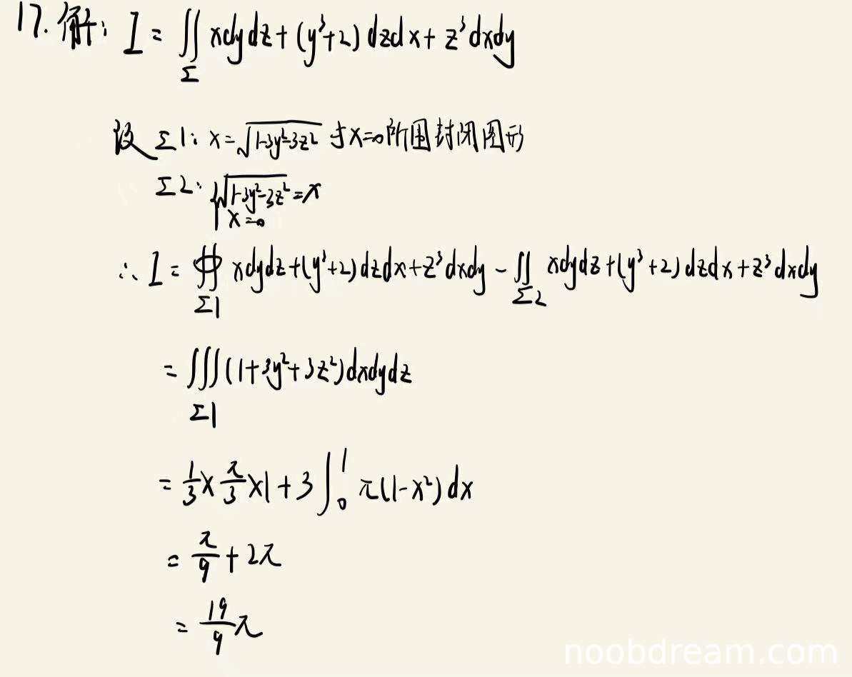
(1)曲面定义错误扣2分
学生作答中曲面表达式与题目不一致:第一次识别为 \(x = \sqrt{1 - y^2 - 3z^2}\),第二次识别为 \(x = \sqrt{1 - 2y^2 - 3z^2}\),而题目给定的是 \(x = \sqrt{1 - 3y^2 - 3z^2}\)。曲面定义错误导致后续积分区域和计算全部错误,属于核心逻辑错误。
(2)被积函数错误扣2分
题目中被积函数第二项为 \((y^3 + z)dzdx\),但学生作答中第一次识别为 \((y^2 + 2)\),第二次识别为 \((y^3 + 2)\),z误写为2。这导致散度计算错误,属于关键性错误。
(3)高斯公式应用错误扣2分
学生虽然正确使用了高斯公式的思路,但由于曲面定义和被积函数错误,导致散度计算错误。正确的散度应为 \(1 + 3y^2 + 3z^2\),但学生计算时仍按此形式,不过由于前面错误,实际计算已偏离正确方向。
(4)积分计算错误扣3分
学生的具体积分计算过程存在多处错误:积分区域理解错误、体积计算错误(将椭球体误作球体)、柱坐标变换错误、定积分计算错误。最终结果 \(\frac{19}{9}\pi\) 与正确答案 \(\frac{14\pi}{45}\) 相差甚远。
(5)辅助曲面处理不当扣1分
学生对辅助曲面 \(\sum_2\) 的处理不够清晰,虽然提到了要减去该曲面的积分,但具体计算中未能正确处理法向量方向。
题目总分:0+0+0=0分
虽然学生掌握了使用高斯公式和辅助曲面构成封闭区域的基本思路,但由于曲面定义、被积函数等核心要素的错误,导致整个解答方向偏离,计算结果完全错误。按照评分标准,逻辑错误需要扣分,且最终结果错误,因此不能得分。
登录后发布评论
暂无评论,来抢沙发