文章
149
粉丝
0
获赞
1
访问
81.4k

评分及理由
(1)得分及理由(满分5分)
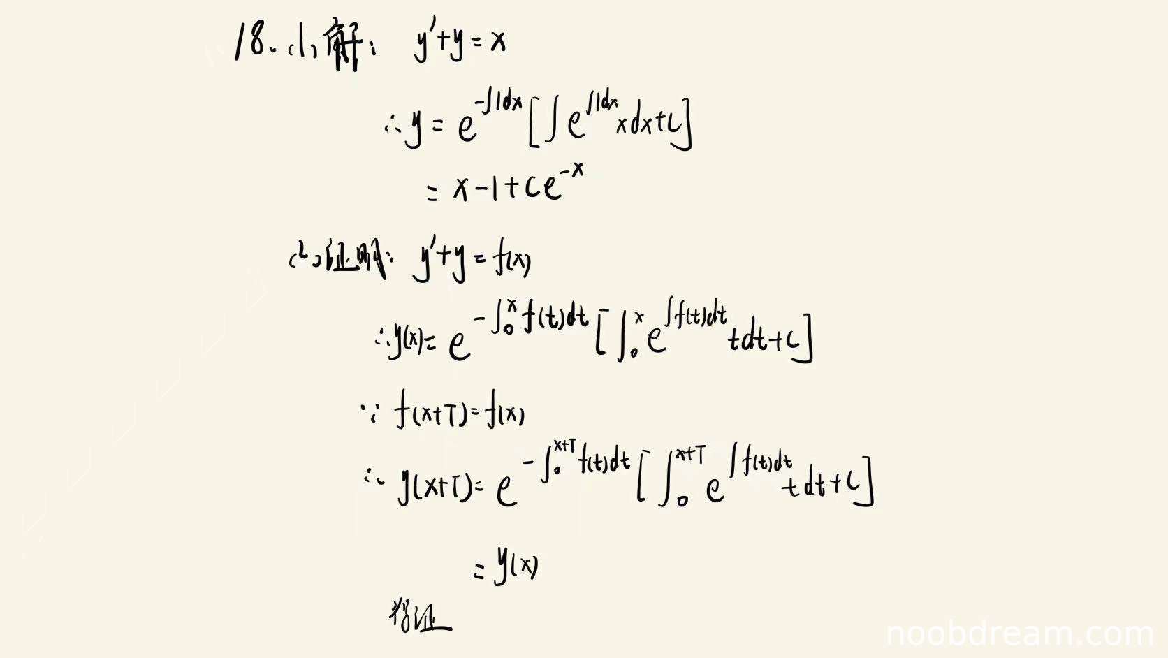
第1次识别结果中,学生直接给出了通解形式 \(y = x - 1 + ce^{-x}\),与标准答案一致。第2次识别结果中,学生详细展示了一阶线性微分方程的求解过程:正确识别\(P(x)=1\),应用通解公式,通过分部积分计算\(\int xe^x dx\)得到\((x-1)e^x\),最终得到正确通解\(y=x-1+Ce^{-x}\)。解题过程完整正确,因此得5分。
(2)得分及理由(满分5分)
第1次识别结果中,学生给出的通解形式\(y(x) = e^{-\int_{0}^{x} f(t)dt}[\int_{0}^{x} e^{\int_{0}^{t} f(u)du} tdt + c]\)存在严重错误:积分变量混淆,指数积分表达式不正确,且直接断言\(y(x+T)=y(x)\)缺乏证明过程。第2次识别结果中,通解形式仍然错误(积分表达式与标准答案不一致),证明部分仅简单提及"经过一系列积分变换和性质(过程略)"而未给出实质证明。两部分识别结果均未正确推导出周期解的存在唯一性,核心逻辑错误,因此得0分。
题目总分:5+0=5分
登录后发布评论
暂无评论,来抢沙发