文章
134
粉丝
0
获赞
1
访问
16.6k

评分及理由
(1)得分及理由(满分5.5分)
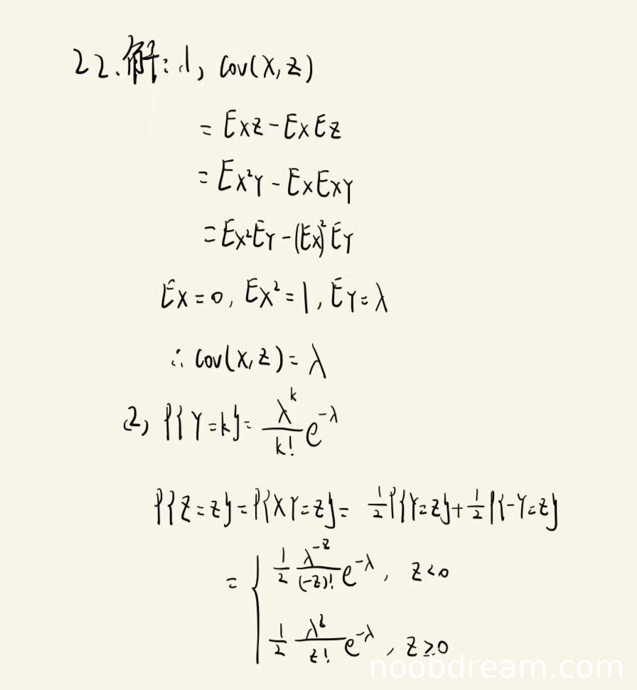
学生作答(a)部分完全正确。正确使用了协方差公式Cov(X,Z)=E(XZ)-E(X)E(Z),并利用X与Y独立、E(X)=0、E(X²)=1、E(Y)=λ等条件,得出Cov(X,Z)=λ。计算过程清晰,逻辑严谨,与标准答案一致。因此得满分5.5分。
(2)得分及理由(满分5.5分)
学生作答(b)部分存在逻辑错误。虽然思路正确,使用了全概率公式P(Z=z)=P(X=1)P(Y=z)+P(X=-1)P(-Y=z),但在具体表达时:
这些错误导致分布律表达不完整且部分错误。考虑到思路基本正确,但存在实质性错误,扣3分,得2.5分。
题目总分:5.5+2.5=8分
登录后发布评论
暂无评论,来抢沙发