文章
74
粉丝
0
获赞
0
访问
8.4k

评分及理由
(1)求解微分方程部分得分及理由(满分4分)
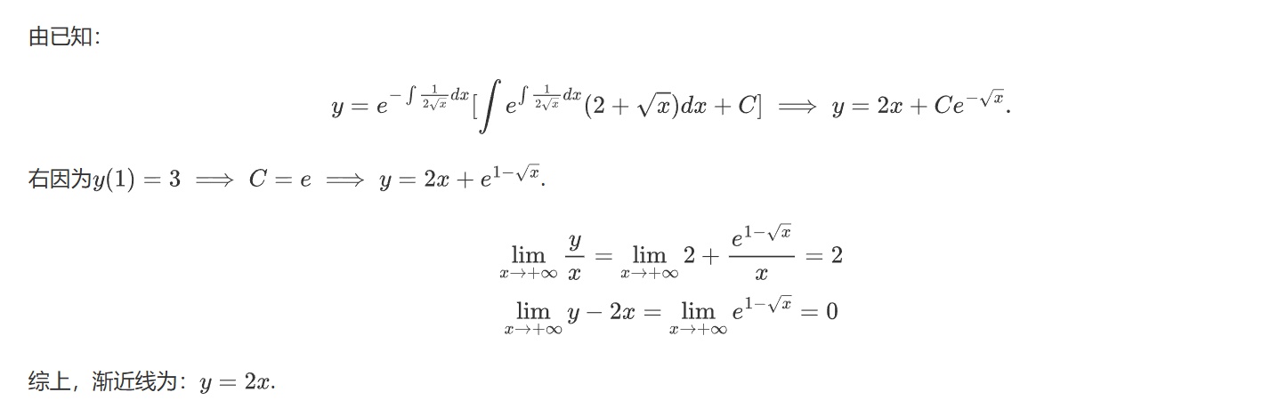
学生正确使用了一阶线性微分方程的求解公式,计算积分过程正确,得到通解 \( y = 2x + Ce^{-\sqrt{x}} \) 与标准答案等价。利用初始条件 \( y(1) = 3 \) 解得 \( C = e \),得到特解 \( y = 2x + e^{1 - \sqrt{x}} \),与标准答案 \( y(x) = e^{-\sqrt{x}}(2xe^{\sqrt{x}} + e) \) 完全一致(经化简可验证)。此部分无错误,得4分。
(2)求渐近线部分得分及理由(满分6分)
学生正确设斜渐近线为 \( y = kx + b \),并计算 \( k = \lim_{x \to +\infty} \frac{y}{x} = 2 \) 和 \( b = \lim_{x \to +\infty} (y - 2x) = 0 \),过程与结果均正确。渐近线结论 \( y = 2x \) 正确。此部分无错误,得6分。
题目总分:4+6=10分
登录后发布评论
暂无评论,来抢沙发