2022年考研数学(一)考试试题 - 第18题回答
高等数学
发布于2025年10月22日 18:48
阅读数 43

评分及理由
(1)得分及理由(满分12分)
学生作答与标准答案思路基本一致,但存在以下问题:
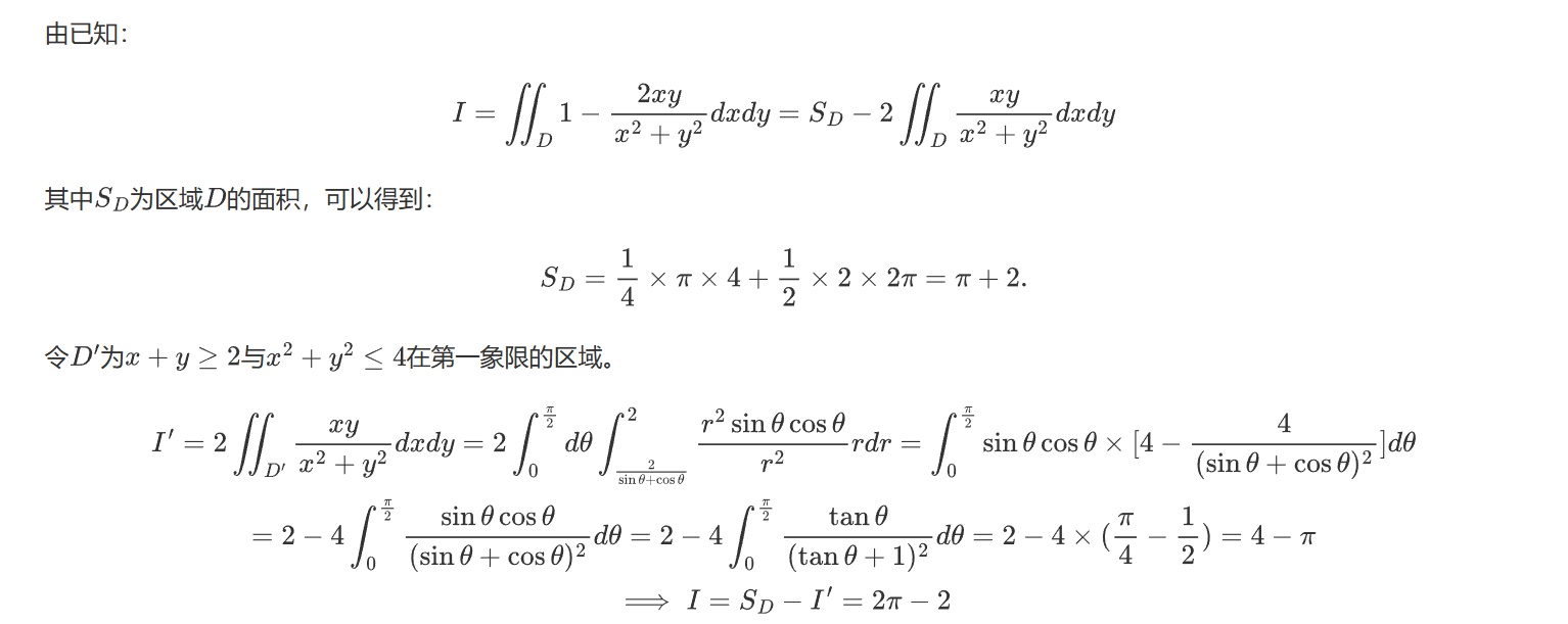
- 在计算区域D的面积S_D时,学生写的是S_D = π + 2,但推导过程中写的是"1/4×π×4 + 1/2×2×2π = π + 2",其中"1/2×2×2π"应为"1/2×2×2 = 2",虽然最终结果正确,但表达式有误。考虑到可能是识别错误,且最终结果正确,不扣分。
- 在定义D'时,学生描述为"x+y≥2与x²+y²≤4在第一象限的区域",这与标准答案中通过直线y=-x+2划分区域的思想一致,表述合理。
- 在计算I'时,学生正确使用了极坐标变换,积分限设置正确,计算过程基本正确。
- 最终结果I=2π-2与标准答案完全一致。
虽然过程中有个别表达式不够严谨,但核心思路正确,计算过程完整,最终结果正确。根据评分要求,思路正确不扣分,识别错误不扣分,因此给予满分。
题目总分:12分
登录后发布评论
暂无评论,来抢沙发