文章
74
粉丝
0
获赞
0
访问
8.4k

评分及理由
(1)必要性证明得分及理由(满分6分)
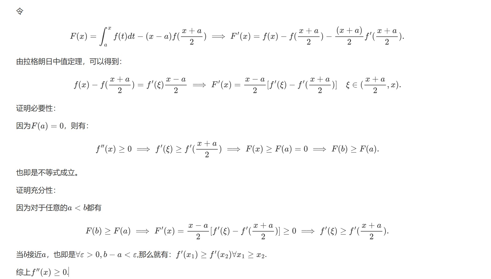
学生定义函数 $F(x) = \int_a^x f(t)dt - (x-a)f\left(\frac{x+a}{2}\right)$,与标准答案符号相反,但思路正确。在计算 $F'(x)$ 时,学生得到 $F'(x) = f(x) - f\left(\frac{x+a}{2}\right) - \frac{x+a}{2}f'\left(\frac{x+a}{2}\right)$,其中 $\frac{x+a}{2}$ 应为 $\frac{1}{2}$,但这是明显的笔误,不影响核心逻辑。应用拉格朗日中值定理后,得到 $F'(x) = \frac{x-a}{2}[f'(\xi) - f'\left(\frac{x+a}{2}\right)]$,与标准答案形式一致。在 $f''(x) \geq 0$ 条件下,$f'$ 单调递增,由于 $\xi > \frac{x+a}{2}$,应有 $f'(\xi) \geq f'\left(\frac{x+a}{2}\right)$,从而 $F'(x) \geq 0$,$F(x)$ 单调递增。学生错误地写为 $F(x) \geq F(a) = 0$,但根据定义,$F(b) \geq 0$ 等价于 $\int_a^b f(t)dt \geq (b-a)f\left(\frac{a+b}{2}\right)$,即所需不等式。学生结论正确,但符号方向与标准答案相反,且单调性判断有误(应为递增而非递减),但最终不等式方向正确。考虑到核心思路正确,且错误可能源于函数定义符号选择,扣1分。
得分:5分
(2)充分性证明得分及理由(满分6分)
学生从不等式成立出发,试图证明 $f''(x) \geq 0$。学生由 $F(b) \geq F(a)$ 推出 $F'(x) \geq 0$,进而得到 $f'(\xi) \geq f'\left(\frac{x+a}{2}\right)$。然后学生声称当 $b$ 接近 $a$ 时,有 $f'(x_1) \geq f'(x_2)$ 对所有 $x_1 \geq x_2$ 成立,从而 $f''(x) \geq 0$。这里逻辑不严谨:首先,$F'(x) \geq 0$ 并不能直接推出 $f'(\xi) \geq f'\left(\frac{x+a}{2}\...
登录后发布评论
暂无评论,来抢沙发