文章
74
粉丝
0
获赞
0
访问
8.4k

评分及理由
(1)得分及理由(满分4分)
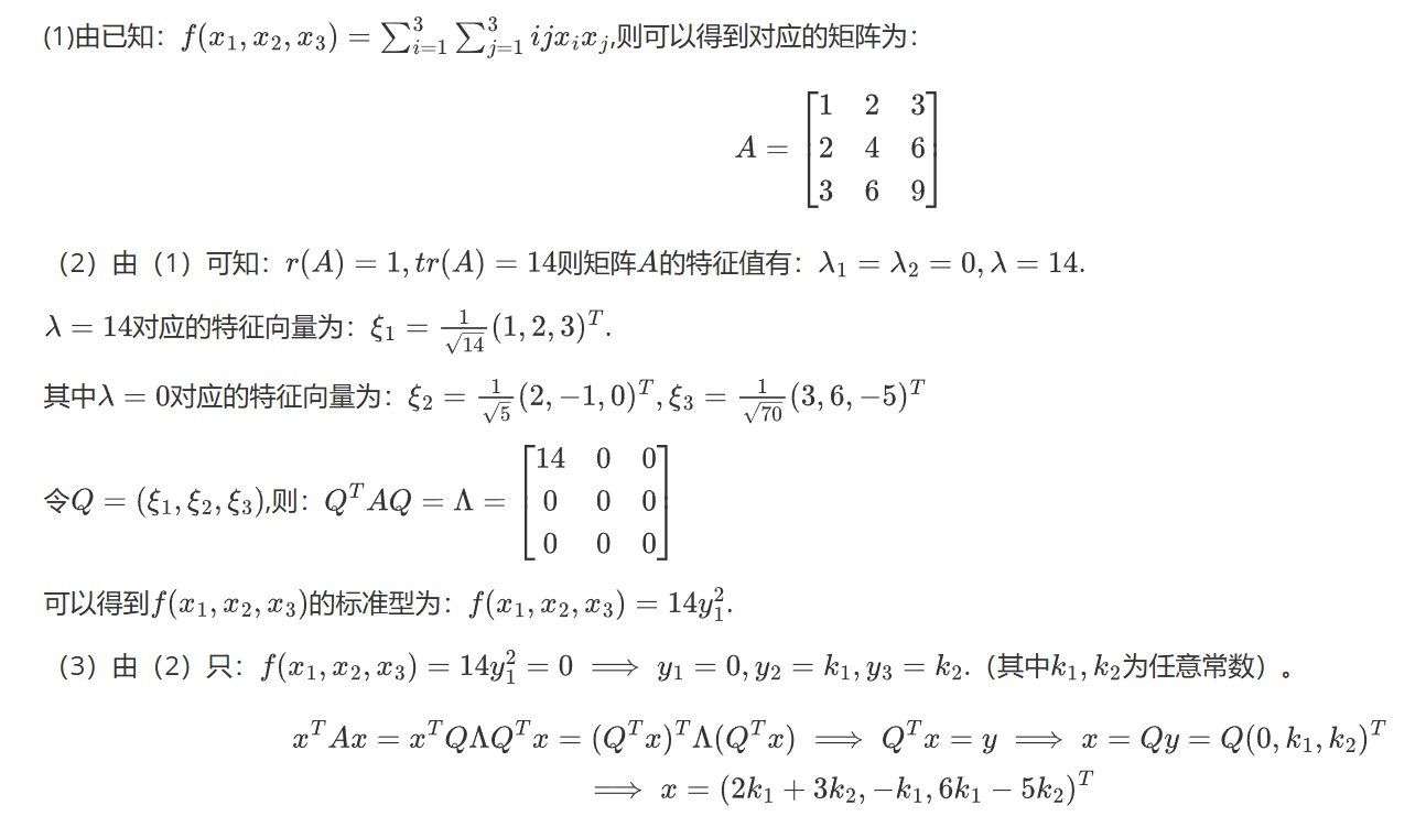
学生正确写出二次型矩阵为 \(\begin{bmatrix}1&2&3\\2&4&6\\3&6&9\end{bmatrix}\),与标准答案一致。得4分。
(2)得分及理由(满分4分)
学生正确指出矩阵的秩为1、迹为14,并得出特征值为14,0,0。特征向量 \(\xi_1\) 正确,但 \(\xi_2\) 和 \(\xi_3\) 的符号与标准答案相反(标准答案为 \((-2,1,0)^T\) 和 \((-3,-6,5)^T\),学生为 \((2,-1,0)^T\) 和 \((3,6,-5)^T\))。由于特征向量可以相差一个负号,这属于等价形式,不扣分。正交矩阵 \(Q\) 的构造和标准型推导正确。得4分。
(3)得分及理由(满分4分)
学生由 \(y_1=0\) 得到解的形式,但最终计算结果 \(x=(2k_1+3k_2,-k_1,6k_1-5k_2)^T\) 有误。标准答案为 \(x=k_1(-2,1,0)^T+k_2(-3,-6,5)^T\)。学生的向量与标准答案线性无关,但未正确表示零空间基向量,存在逻辑错误。扣2分,得2分。
题目总分:4+4+2=10分
登录后发布评论
暂无评论,来抢沙发