文章

509

粉丝

0

获赞

1

访问

202.9k

头像
2025年合工大超越5+5套卷(一) - 第17题回答
高等数学
发布于2025年10月22日 22:35
阅读数 575


评分及理由

(1)得分及理由(满分10分)

学生作答在两次识别中均得到了正确的结果-1,且解题思路与标准答案一致。具体分析如下:

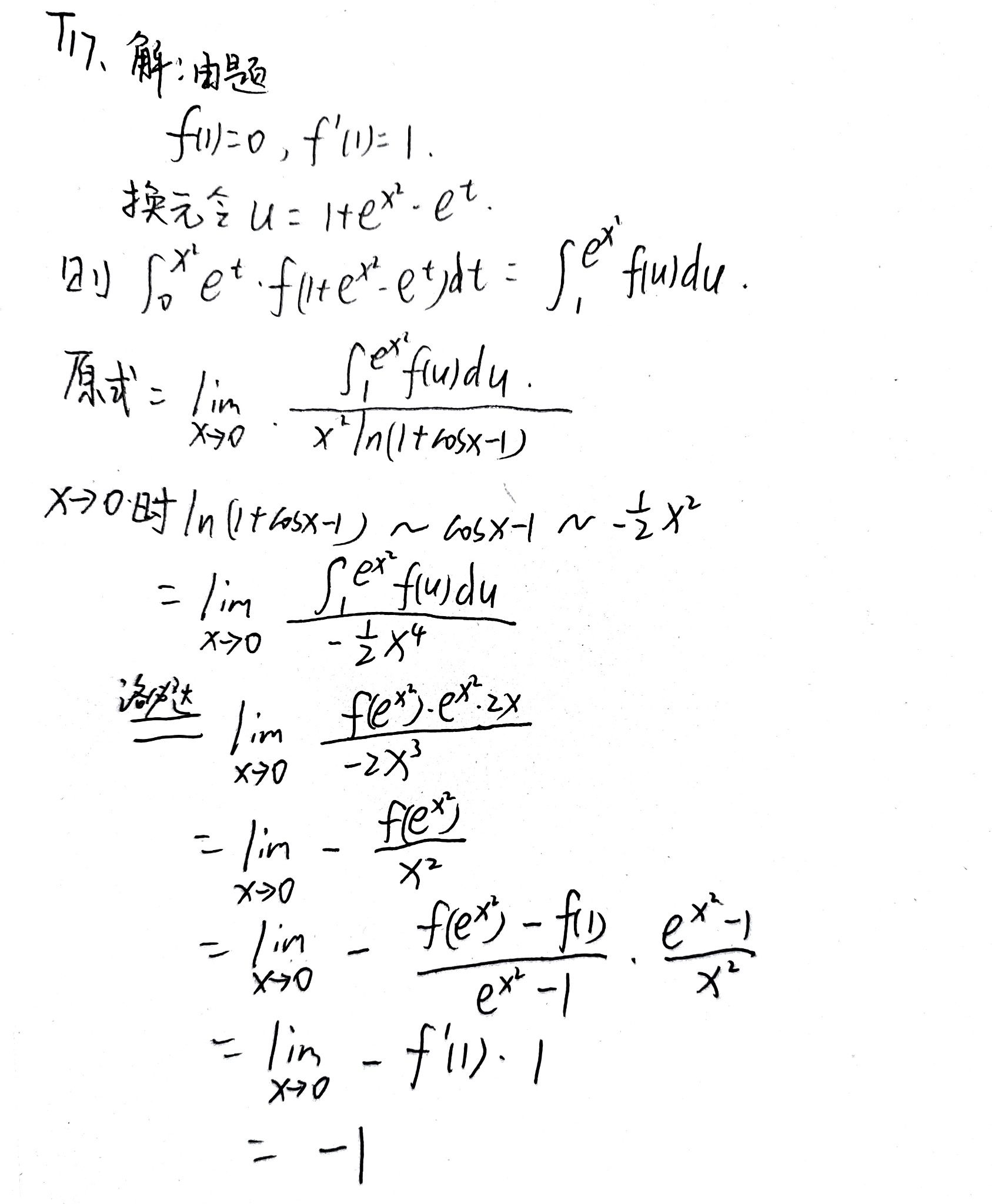
  • 正确使用了已知条件:由切线方程得到f(1)=0,f'(1)=1
  • 换元过程正确:令u=1+e^{x²}-e^t,积分上下限变换正确
  • 等价无穷小替换正确:ln(1+cosx-1)~cosx-1~-1/2x²
  • 洛必达法则应用正确:对0/0型极限求导
  • 最后一步变形正确:利用导数定义和等价无穷小得到最终结果

虽然第二次识别中在描述换元时积分上下限的对应关系表述稍有混乱(说反了),但实际计算中上下限使用正确,不影响最终结果。根据"误写不扣分"原则,不扣分。

得分:10分

题目总分:10分

登录查看完整内容


登录后发布评论

暂无评论,来抢沙发