文章
480
粉丝
0
获赞
1
访问
66.8k

评分及理由
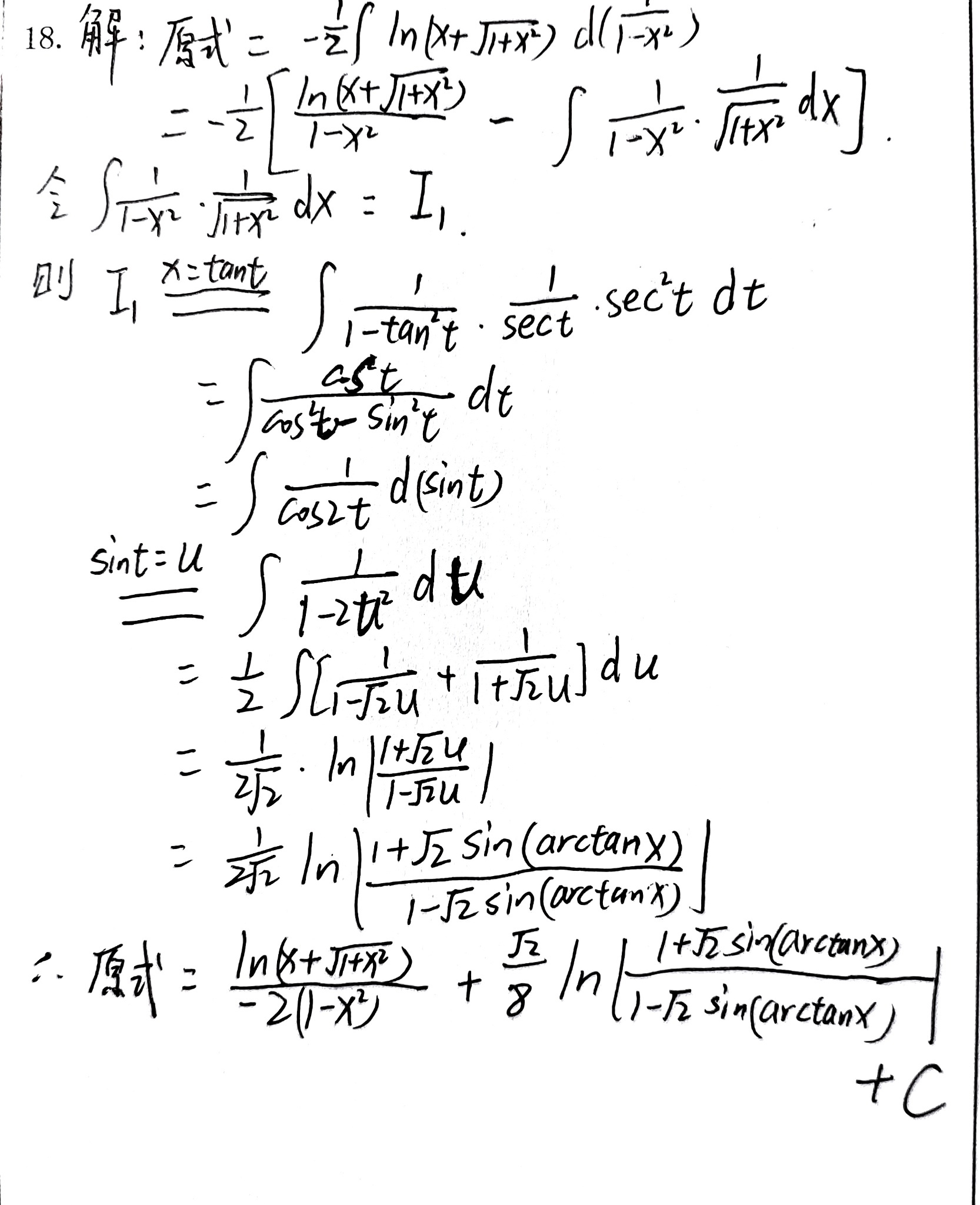
(1)分部积分步骤得分及理由(满分4分)
学生作答中分部积分步骤基本正确,设 \( u = \ln(x + \sqrt{1 + x^2}) \),\( dv = d\left(\frac{1}{1 - x^2}\right) \),得到: \[ -\frac{1}{2} \left[ \frac{\ln(x + \sqrt{1 + x^2})}{1 - x^2} - \int \frac{1}{1 - x^2} \cdot \frac{1}{\sqrt{1 + x^2}} dx \right] \] 与标准答案一致。但学生一开始写的是 \( -\frac{1}{2} \int \ln(x + \sqrt{1 + x^2}) d\left(\frac{1}{1 - x^2}\right) \),而标准答案是 \( +\frac{1}{2} \int \ln(x + \sqrt{1 + x^2}) d\left(\frac{1}{1 - x^2}\right) \),这里符号有误,属于逻辑错误。由于后续计算中符号一直保持错误,扣1分。得分:3分。
(2)积分 \( I_1 \) 计算得分及理由(满分6分)
学生通过代换 \( x = \tan t \) 计算 \( I_1 = \int \frac{1}{1 - x^2} \cdot \frac{1}{\sqrt{1 + x^2}} dx \),步骤正确: \[ I_1 = \int \frac{\cos t}{\cos^2 t - \sin^2 t} dt = \int \frac{1}{\cos 2t} d(\sin t) \] 再令 \( u = \sin t \),得到 \( I_1 = \int \frac{1}{1 - 2u^2} du \)。部分分式分解和积分结果 \( \frac{1}{2\sqrt{2}} \ln \left| \frac{1 + \sqrt{2}u}{1 - \sqrt{2}u} \right| \) 正确。代回 \( u = \sin t = \frac{x}{\sqrt{1 + x^2}} \) 也正确。但学生最终表达式为 \( \frac{1}{2\sqrt{2}} \ln \left| \frac{1 + \sqrt{2} \sin(\arctan x...
登录后发布评论
暂无评论,来抢沙发