文章

509

粉丝

0

获赞

1

访问

202.9k

头像
2025年合工大超越5+5套卷(一) - 第19题回答
高等数学
发布于2025年10月22日 22:35
阅读数 720


评分及理由

(1)得分及理由(满分12分)

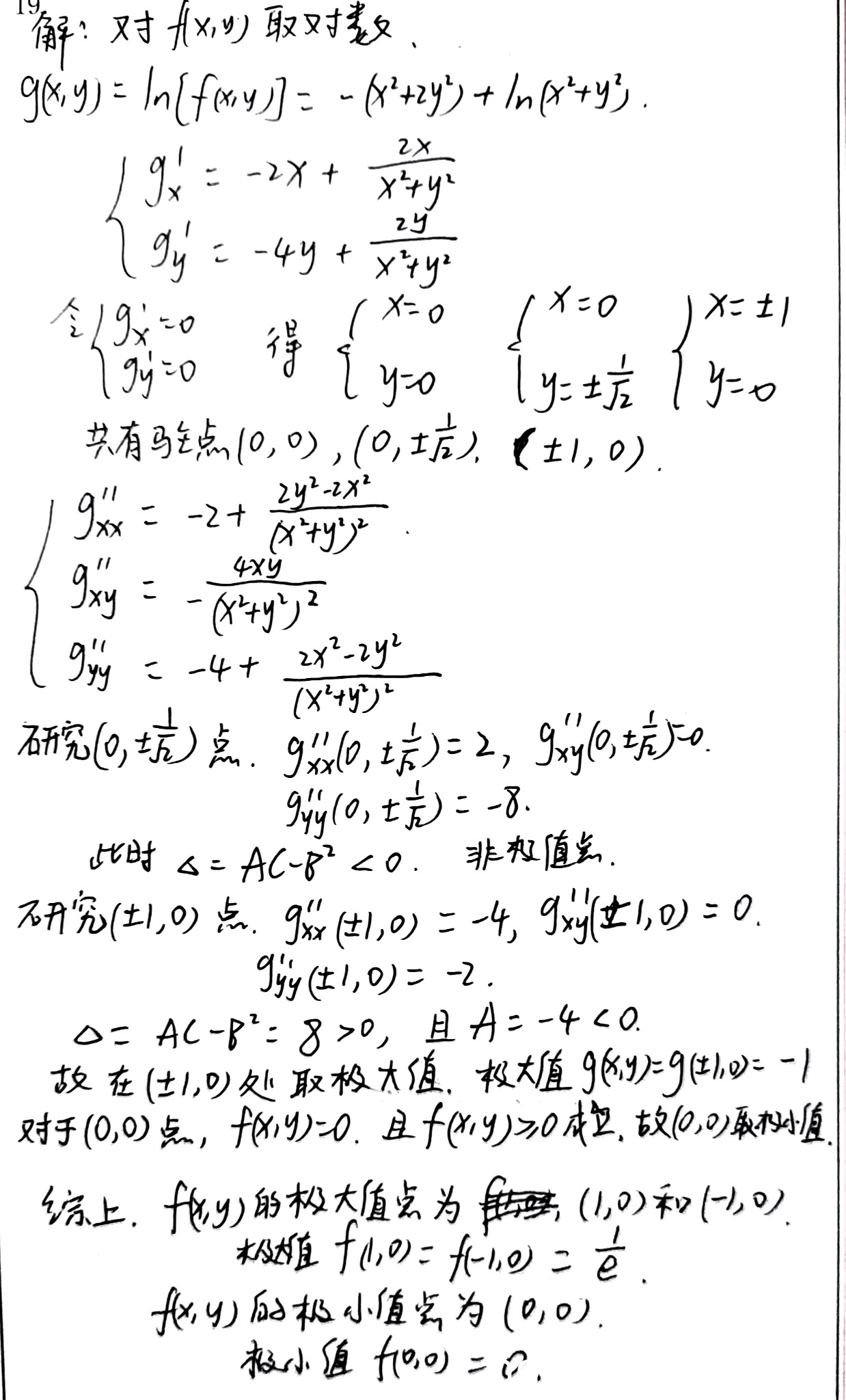
学生采用了取对数的方法来求解极值,思路正确,但存在逻辑错误和计算错误。具体分析如下:

  • 取对数方法本身是可行的,但学生定义 \( g(x,y) = \ln[f(x,y)] \) 时,忽略了 \( f(x,y) \) 在 \((0,0)\) 处为0,对数无定义,这是一个逻辑错误,扣2分。
  • 在求解驻点时,学生正确列出了偏导数为零的方程,并找到了所有驻点,与标准答案一致,不扣分。
  • 在二阶偏导数计算中,学生的表达式有误(例如 \( g_{xx}'' \) 的表达式错误),导致后续判别错误,扣2分。
  • 在判断 \((0,\pm\frac{1}{\sqrt{2}})\) 点时,学生计算出的判别式 \(\Delta = -16 < 0\),结论正确(非极值点),但计算过程基于错误的二阶偏导数,扣1分。
  • 在判断 \((\pm1,0)\) 点时,学生计算出的判别式 \(\Delta = 8 > 0\) 且 \(A < 0\),结论正确(极大值点),但计算过程基于错误的二阶偏导数,扣1分。
  • 在判断 \((0,0)\) 点时,学生通过 \( f(x,y) \geq 0 \) 和 \( f(0,0) = 0 \) 直接得出极小值,方法正确,不扣分。
  • 最终极值点和极值结论与标准答案一致,不扣分。

综上,扣分总计:2(对数定义域错误)+ 2(二阶偏导计算错误)+ 1(\((0,\pm\frac{1}{\sqrt{2}})\) 点计算过程错误)+ 1(\((\pm1,0)\) 点计算过程错误)= 6分。得分:12 - 6 = 6分。

题目总分:6分

登录查看完整内容


登录后发布评论

暂无评论,来抢沙发