文章
480
粉丝
0
获赞
1
访问
66.8k

评分及理由
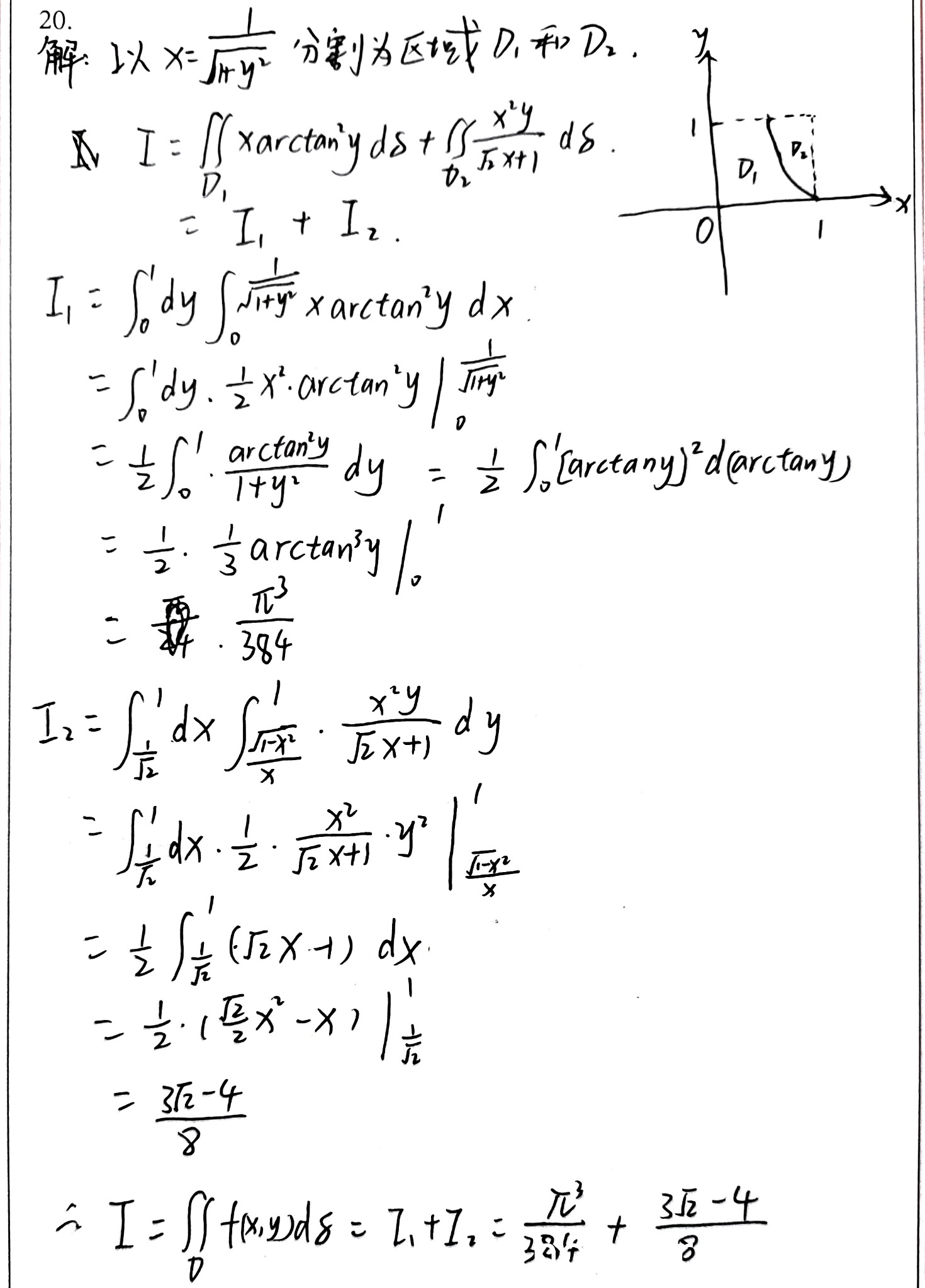
(1)分割区域与积分表达式(满分2分)
学生正确识别了分割曲线 \(x = \frac{1}{\sqrt{1 + y^{2}}}\),并将区域 \(D\) 正确分割为 \(D_1\) 和 \(D_2\),积分表达式也正确。第一次识别中 \(D_2\) 的积分函数误写为 \(\frac{x^2 y}{\sqrt{x+1}}\),但第二次识别已修正为 \(\frac{x^2 y}{\sqrt{2}x + 1}\),根据禁止扣分规则第3条,以正确版本为准,不扣分。得2分。
(2)计算 \(I_1\)(满分4分)
学生正确设置了积分限,对 \(x\) 积分得到 \(\frac{1}{2} \frac{\arctan^2 y}{1+y^2}\),并正确进行变量代换 \(u = \arctan y\)。第一次识别中最终结果误写为 \(\frac{\pi^3}{84} \cdot \frac{\pi^3}{384}\),但第二次识别已修正为 \(\frac{\pi^3}{384}\),根据禁止扣分规则第3条,以正确版本为准,不扣分。得4分。
(3)计算 \(I_2\)(满分6分)
学生正确设置了积分限,对 \(y\) 积分得到 \(\frac{1}{2} \frac{x^2}{\sqrt{2}x+1} \left(1 - \frac{1-x^2}{x^2}\right) = \frac{1}{2} (\sqrt{2}x - 1)\),并正确计算定积分。最终结果 \(\frac{3\sqrt{2}-4}{8}\) 正确。得6分。
题目总分:2+4+6=12分
登录后发布评论
暂无评论,来抢沙发