文章
480
粉丝
0
获赞
1
访问
66.8k

评分及理由
(1)得分及理由(满分4分)
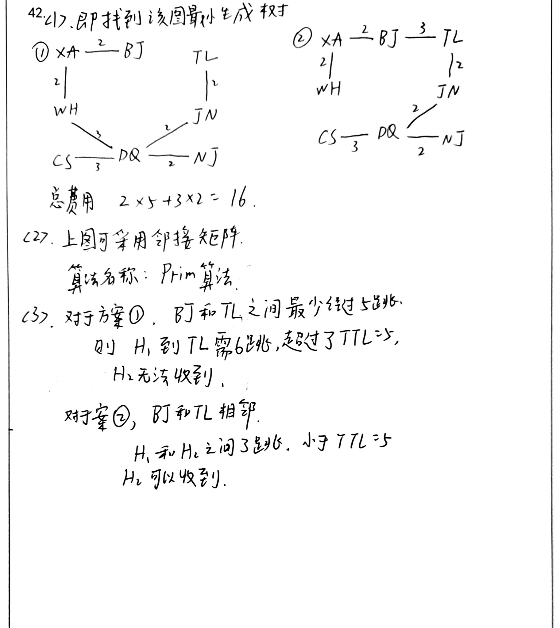
学生正确识别了问题为求最小生成树,并给出了两种方案,总费用计算正确为16。方案一的边列表形式为:(XA,BJ,2), (XA,WH,2), (TL,JN,2), (JN,QD,2), (NJ,QD,2), (WH,QD,3), (CS,QD,3);方案二的边列表形式为:(XA,BJ,2), (XA,WH,2), (BJ,TL,3), (TL,JN,2), (JN,QD,2), (NJ,QD,2), (CS,QD,3)。两种方案均正确,总费用计算无误。得4分。
(2)得分及理由(满分4分)
学生正确指出存储结构为邻接矩阵,算法名称为Prim算法,与标准答案一致。得4分。
(3)得分及理由(满分2分)
学生正确分析了两种方案下H1到H2的跳数:方案①中跳数为6(超过TTL=5,H2无法收到),方案②中跳数为3(小于TTL=5,H2可以收到)。分析完整且正确。得2分。
题目总分:4+4+2=10分
登录后发布评论
暂无评论,来抢沙发