文章
337
粉丝
0
获赞
0
访问
132.1k

评分及理由
(1)得分及理由(满分4分)
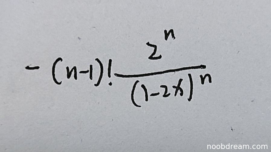
学生给出的答案是 \(-(n - 1)!\frac{2^{n}}{(1 - 2x)^{n}}\),这是函数 \(y=\ln (1-2 x)\) 在任意点 \(x\) 处的 \(n\) 阶导数表达式,而不是在 \(x=0\) 处的具体数值。题目要求的是在 \(x=0\) 处的 \(n\) 阶导数值 \(y^{(n)}(0)\)。将 \(x=0\) 代入学生的答案中得到 \(-(n-1)! \cdot 2^n\),这与标准答案 \(-2^{n}(n-1)!\) 完全一致(乘法顺序不影响结果)。因此,学生的答案虽然形式上是通式,但包含了正确的 \(x=0\) 时的结果,核心逻辑正确,且计算结果与标准答案一致。
得分:4分
题目总分:4分
登录后发布评论
暂无评论,来抢沙发