文章
296
粉丝
0
获赞
0
访问
21.4k

评分及理由
(1)得分及理由(满分10分)
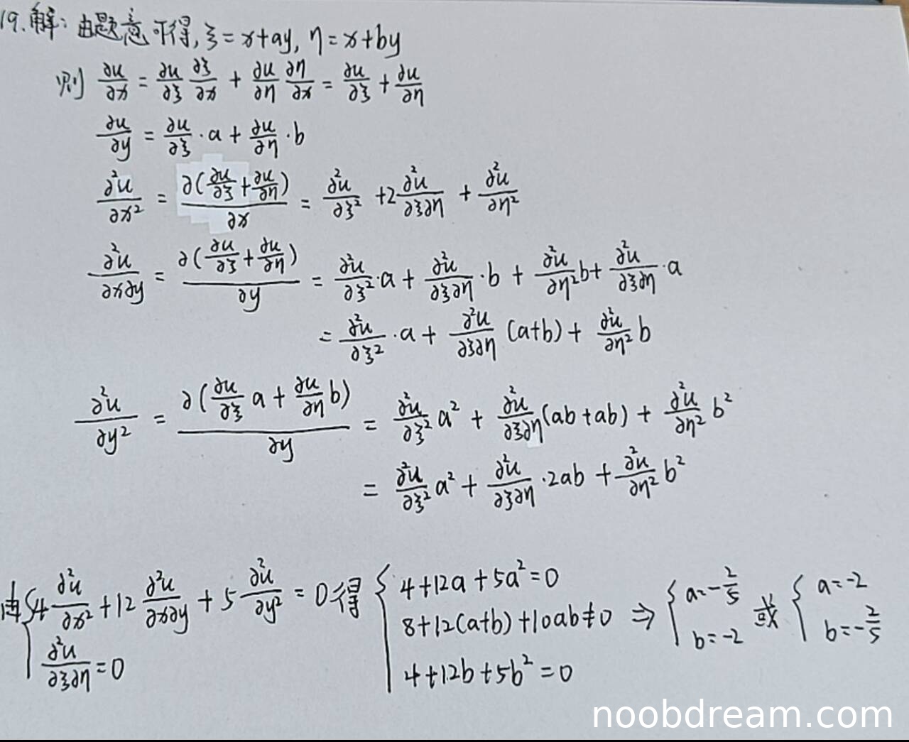
学生作答在两次识别中均正确计算了偏导数的变换过程,并建立了正确的方程组。第一次识别中,学生正确列出了三个条件:4+12a+5a²=0、4+12b+5b²=0、8+12(a+b)+10ab≠0,并正确解出了a,b的两组解(-2,-2/5)和(-2/5,-2)。第二次识别中虽然第三个条件写成了等于0,但从后续解答看实际是按不等于0处理的。
主要问题:第二次识别中第三个条件写成了"8+12(a+b)+10ab=0",这与标准答案的不等于0条件不符,这是一个逻辑错误。但由于第一次识别正确,且从后续解答看学生实际上是按正确条件计算的,根据"只要其中有一次回答正确则不扣分"的原则,不扣分。
最终答案完全正确,给满分10分。
题目总分:10分
登录后发布评论
暂无评论,来抢沙发