文章
111
粉丝
0
获赞
0
访问
33.7k

评分及理由
(1)得分及理由(满分10分)
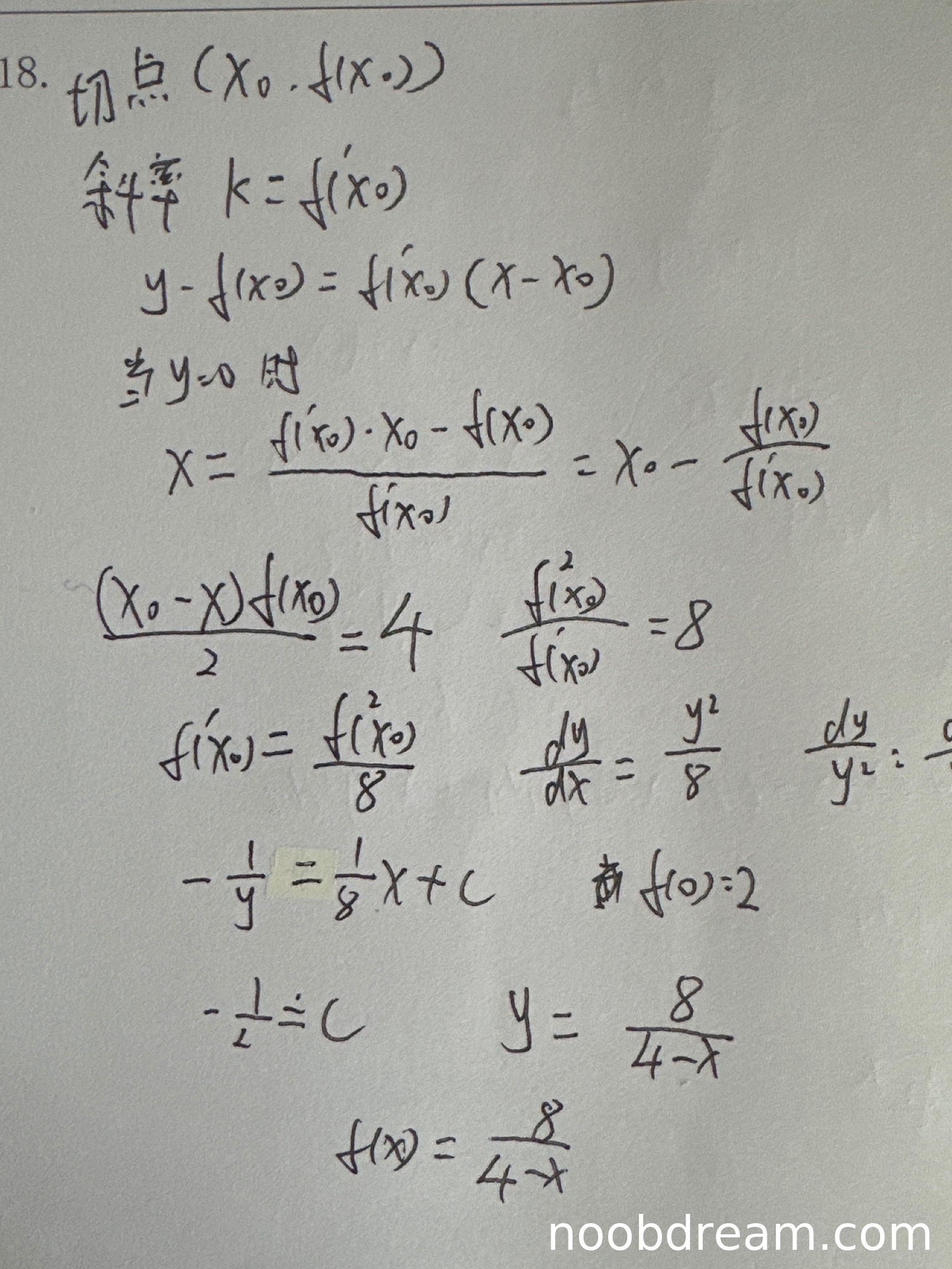
学生作答在整体思路上与标准答案一致,具体步骤包括:正确写出切线方程,求出切线与x轴交点横坐标,利用面积条件建立方程,推导出微分方程,分离变量求解微分方程,并利用初始条件确定常数,最终得到函数表达式。每一步逻辑清晰,计算正确。
在第一次识别结果中,学生写出的面积表达式为 \(\frac{(x_0 - x)f(x_0)}{2} = 4\),这与标准答案中的面积表达式 \(\frac{1}{2} f(x_{0})\left|x_{0}-\left(x_{0}-\frac{f(x_{0})}{f'(x_{0})}\right)\right|=4\) 本质相同,因为 \(x_0 - x = \frac{f(x_0)}{f'(x_0)}\),因此该步骤正确。
在分离变量积分后,学生得到 \(-\frac{1}{y} = \frac{1}{8}x + c\),并正确利用初始条件求出常数,最终得到正确结果 \(y = \frac{8}{4 - x}\)。
因此,本题作答完整且正确,得10分。
题目总分:10分
登录后发布评论
暂无评论,来抢沙发