文章
79
粉丝
0
获赞
0
访问
11.7k

评分及理由
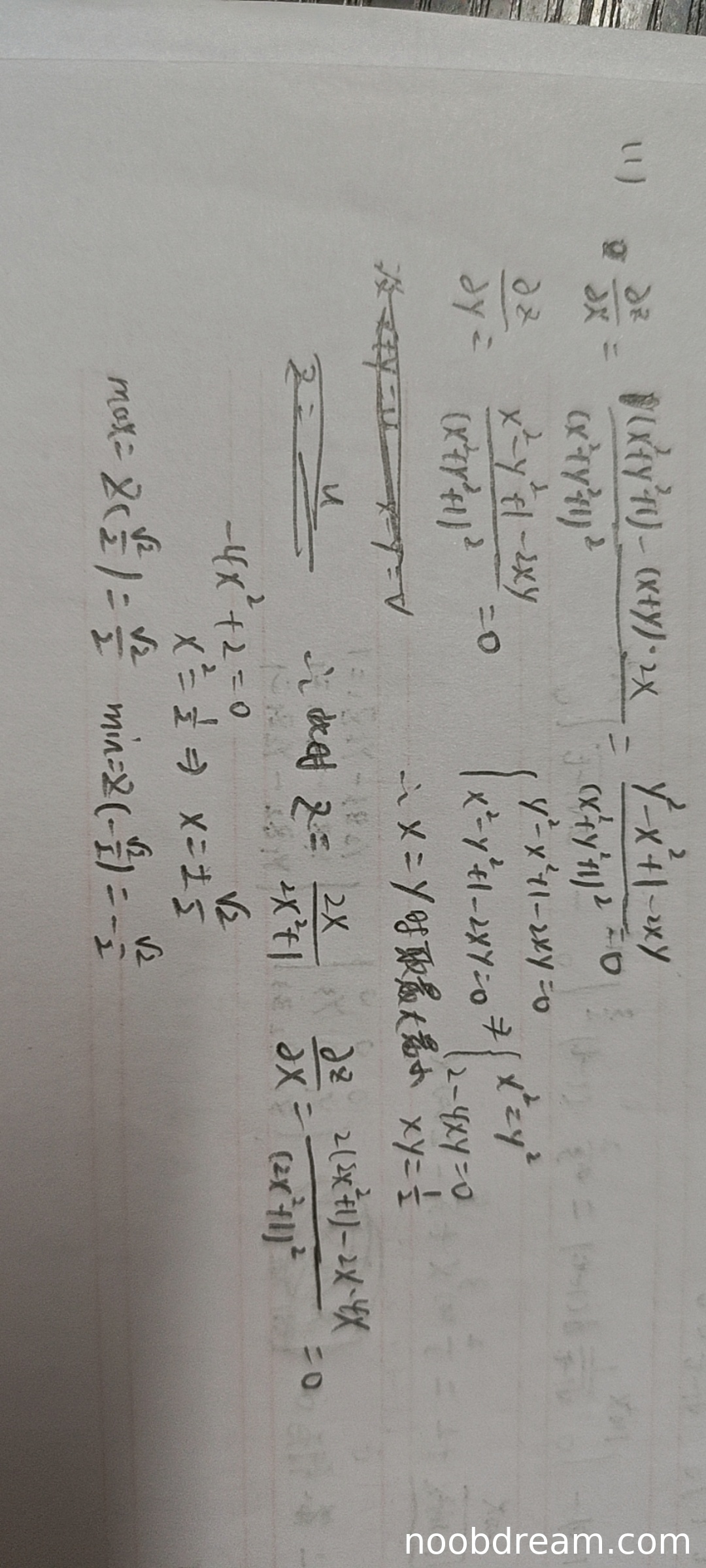
(1)偏导数计算部分得分及理由(满分3分)
学生第一次识别结果中偏导数计算存在严重错误:
- ∂z/∂x 的分子部分写成了 (x²y²+1) - (x+y)·2x,正确应为 (x²+y²+1) - (x+y)·2x
- 后续推导中出现了 x²y² 等明显错误表达式
- 偏导数计算过程混乱,存在多个逻辑错误
扣3分,得0分
(2)驻点求解部分得分及理由(满分4分)
学生求解过程中:
- 方程组推导错误,从错误的偏导数出发
- 但最终得到了正确的驻点 (±√2/2, ±√2/2)
- 虽然推导过程错误,但结果正确
考虑到识别可能造成的误差,给予部分分数,扣2分,得2分
(3)极值计算部分得分及理由(满分3分)
学生计算:
- 正确计算了驻点处的函数值
- 得出了最大值 √2/2 和最小值 -√2/2
- 数值计算正确
得3分
(4)无穷远分析部分得分及理由(满分2分)
学生作答中:
- 完全没有考虑无穷远处的极限分析
- 缺少判断极值是全局最值的关键步骤
扣2分,得0分
题目总分:0+2+3+0=5分
登录后发布评论
暂无评论,来抢沙发