文章
225
粉丝
0
获赞
1
访问
11.4k
 

评分及理由
(1)得分及理由(满分10分)
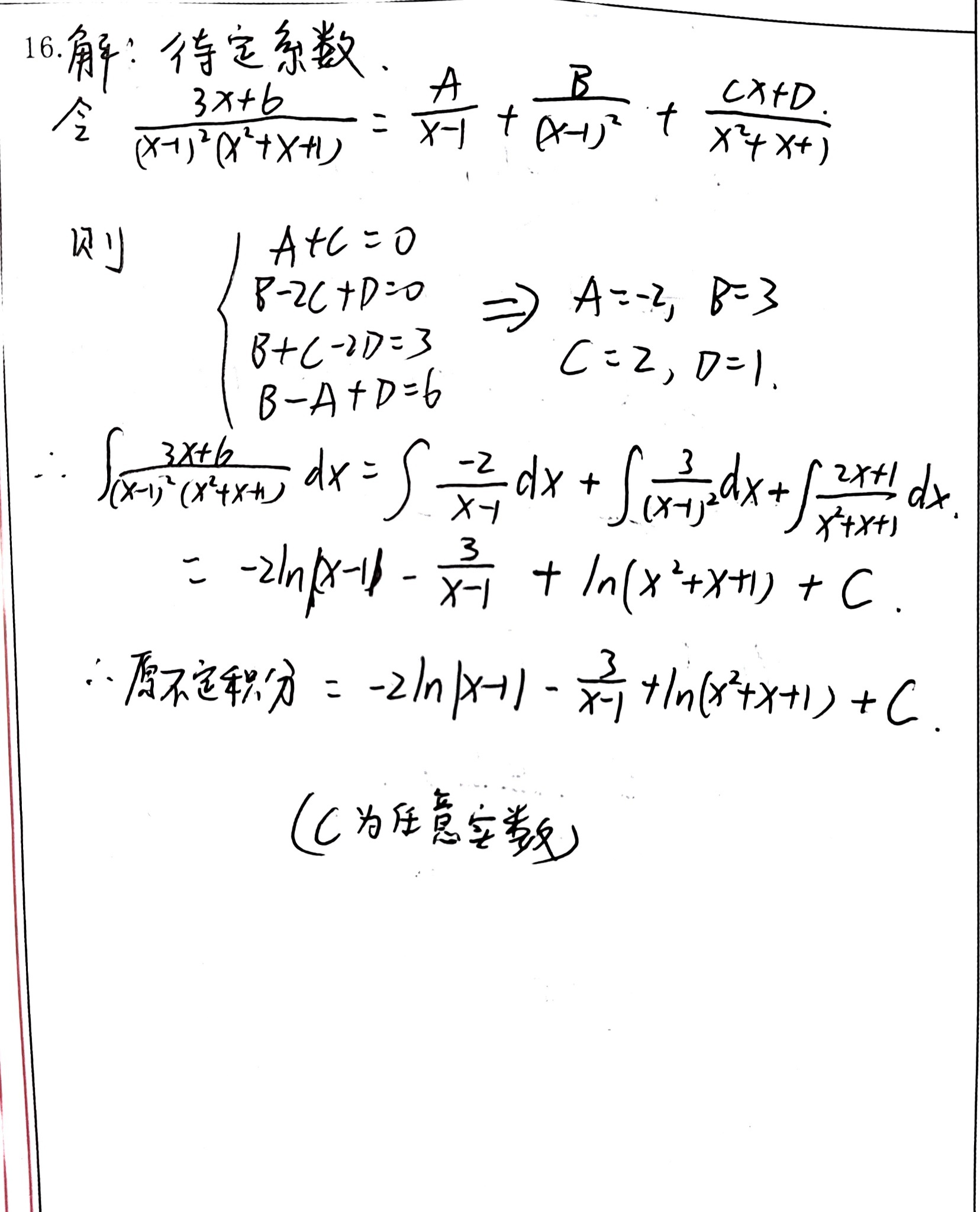
学生使用了正确的部分分式分解方法,设定了合适的分式形式:\(\frac{A}{x-1} + \frac{B}{(x-1)^2} + \frac{Cx+D}{x^2+x+1}\)。通过通分和比较系数建立了正确的方程组,并正确解出系数 \(A=-2, B=3, C=2, D=1\)。积分过程中正确计算了各项:\(\int \frac{-2}{x-1}dx = -2\ln|x-1|\),\(\int \frac{3}{(x-1)^2}dx = -\frac{3}{x-1}\),以及\(\int \frac{2x+1}{x^2+x+1}dx = \ln(x^2+x+1)\)(这里学生正确使用了代换法,且注意到\(x^2+x+1\)恒正,故省略绝对值符号是合理的)。最终结果与标准答案完全一致。整个过程逻辑清晰,计算准确,无任何错误。
题目总分:10分
登录后发布评论
暂无评论,来抢沙发