文章
225
粉丝
0
获赞
1
访问
11.4k
 

评分及理由
(1)得分及理由(满分5分)
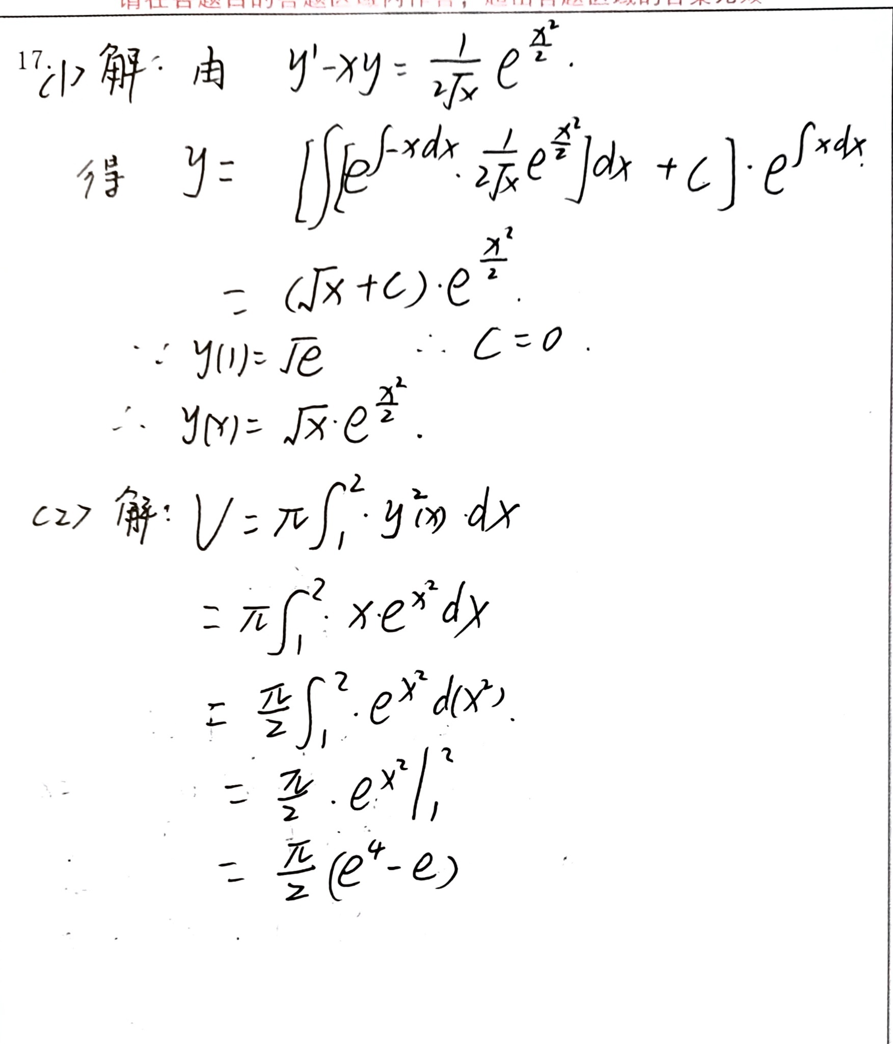
学生正确识别了微分方程为一阶线性微分方程,并正确应用了通解公式。计算积分因子和积分过程完全正确,代入初始条件求解常数项也正确。最终得到与标准答案一致的特解 \(y(x)=\sqrt{x}e^{\frac{x^2}{2}}\)。
得分:5分
(2)得分及理由(满分5分)
学生正确应用了旋转体体积公式 \(V=\pi\int_{1}^{2}y^2(x)dx\),代入正确的 \(y^2(x)=xe^{x^2}\),并通过变量代换 \(t=x^2\) 正确计算了积分,最终得到与标准答案一致的体积 \(\frac{\pi}{2}(e^4-e)\)。
得分:5分
题目总分:5+5=10分
登录后发布评论
暂无评论,来抢沙发