文章

509

粉丝

0

获赞

1

访问

203.7k

头像
2019年考研数学(二)考试试题 - 第18题回答
高等数学
发布于2025年10月24日 19:22
阅读数 560


评分及理由

(1)得分及理由(满分10分)

学生作答分为两次识别结果,但内容实质相同。整体思路正确:

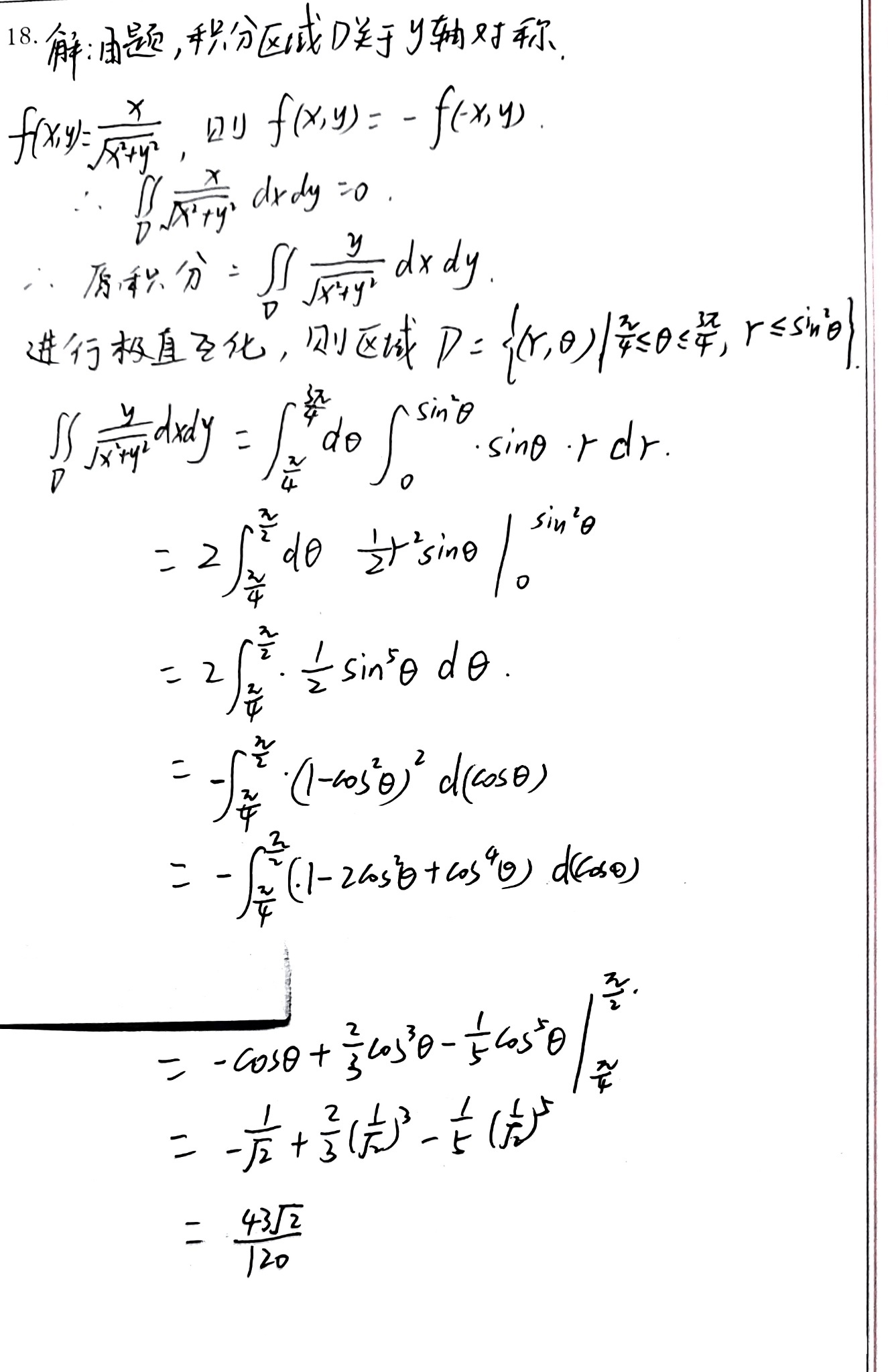
  • 正确利用区域D关于y轴对称性和被积函数中x分量的奇偶性,得出∬Dx/√(x²+y²)dxdy=0
  • 正确将原积分简化为∬Dy/√(x²+y²)dxdy
  • 正确进行极坐标变换,识别出积分区域为π/4≤θ≤3π/4,0≤r≤sin²θ
  • 积分计算过程正确,最终得到正确答案43√2/120

但在第一次识别结果中,积分限写为"r≤sin²θ"应为"0≤r≤sin²θ",但这是明显笔误,不影响理解。第二次识别结果表述更完整清晰。

扣分情况:无实质性错误,仅有一些表述不够严谨的地方,但根据评分规则不扣分。

得分:10分

题目总分:10分

登录查看完整内容


登录后发布评论

暂无评论,来抢沙发