文章
225
粉丝
0
获赞
1
访问
11.4k
 

评分及理由
(1)得分及理由(满分5分)
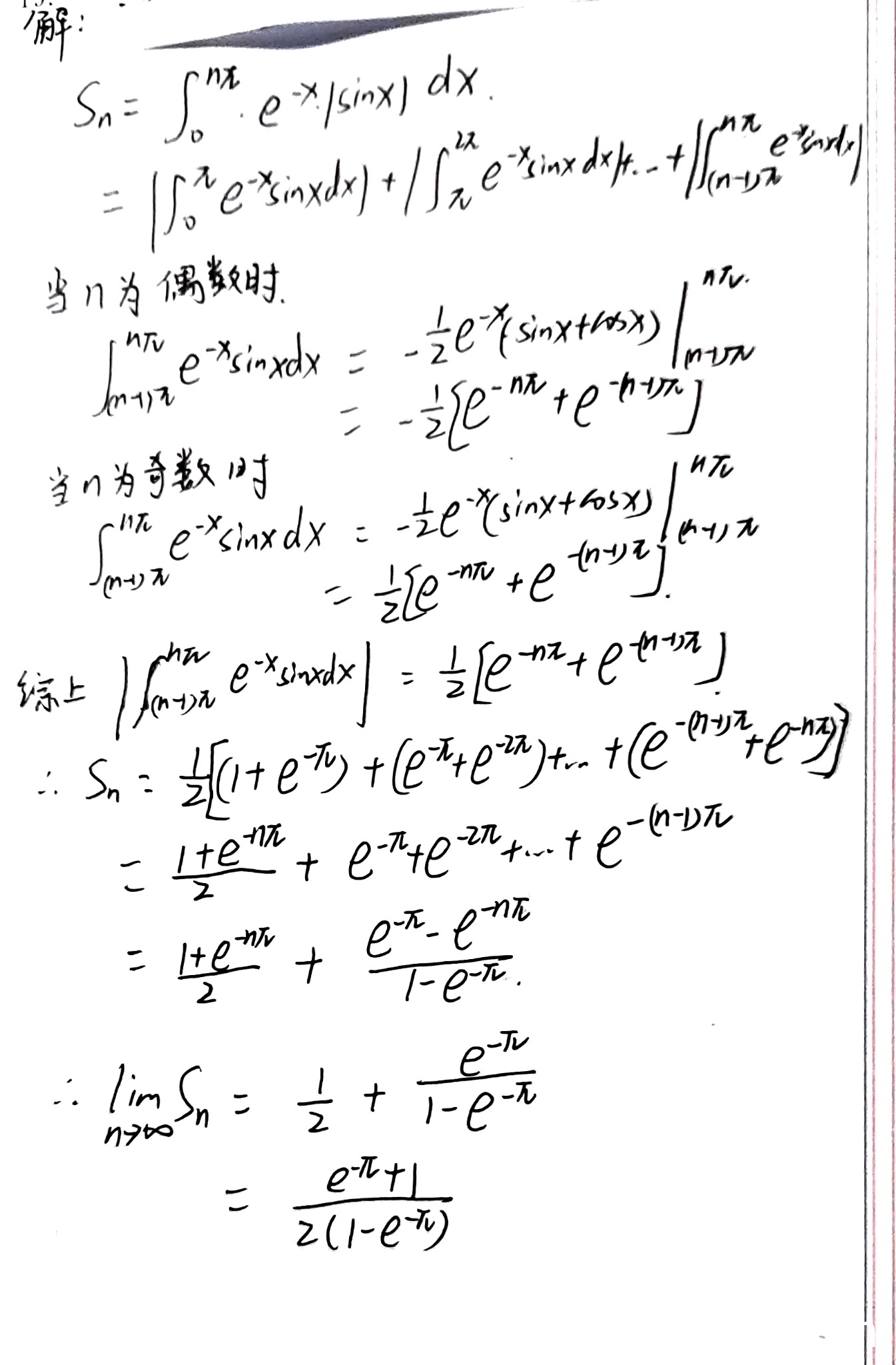
学生正确地将面积表示为 \( S_n = \int_0^{n\pi} e^{-x} |\sin x| \, dx \),并拆分为区间上的积分和。在计算每个区间上的积分时,学生正确使用了不定积分公式 \( \int e^{-x} \sin x \, dx = -\frac{1}{2} e^{-x} (\sin x + \cos x) + C \),并注意到需要取绝对值。在求和时,学生正确地将各项组合成几何级数形式,并最终得到 \( S_n = \frac{1 + e^{-n\pi}}{2} + \frac{e^{-\pi} - e^{-n\pi}}{1 - e^{-\pi}} \)。这个表达式与标准答案等价(通过代数变形可相互转换),因此思路和计算完全正确。得5分。
(2)得分及理由(满分5分)
学生在计算极限时正确应用了 \( \lim_{n \to \infty} e^{-n\pi} = 0 \),得到 \( \lim_{n \to \infty} S_n = \frac{1}{2} + \frac{e^{-\pi}}{1 - e^{-\pi}} \)。虽然学生进一步化简为 \( \frac{e^{\pi} + 1}{2(1 - e^{-\pi})} \),但这与标准答案 \( \frac{1}{2} + \frac{1}{e^{\pi} - 1} \) 等价(通过通分可验证)。因此极限计算正确。得5分。
题目总分:5+5=10分
登录后发布评论
暂无评论,来抢沙发