文章

509

粉丝

0

获赞

1

访问

203.7k

头像
2019年考研数学(二)考试试题 - 第20题回答
高等数学
发布于2025年10月24日 19:22
阅读数 537


评分及理由

(1)得分及理由(满分11分)

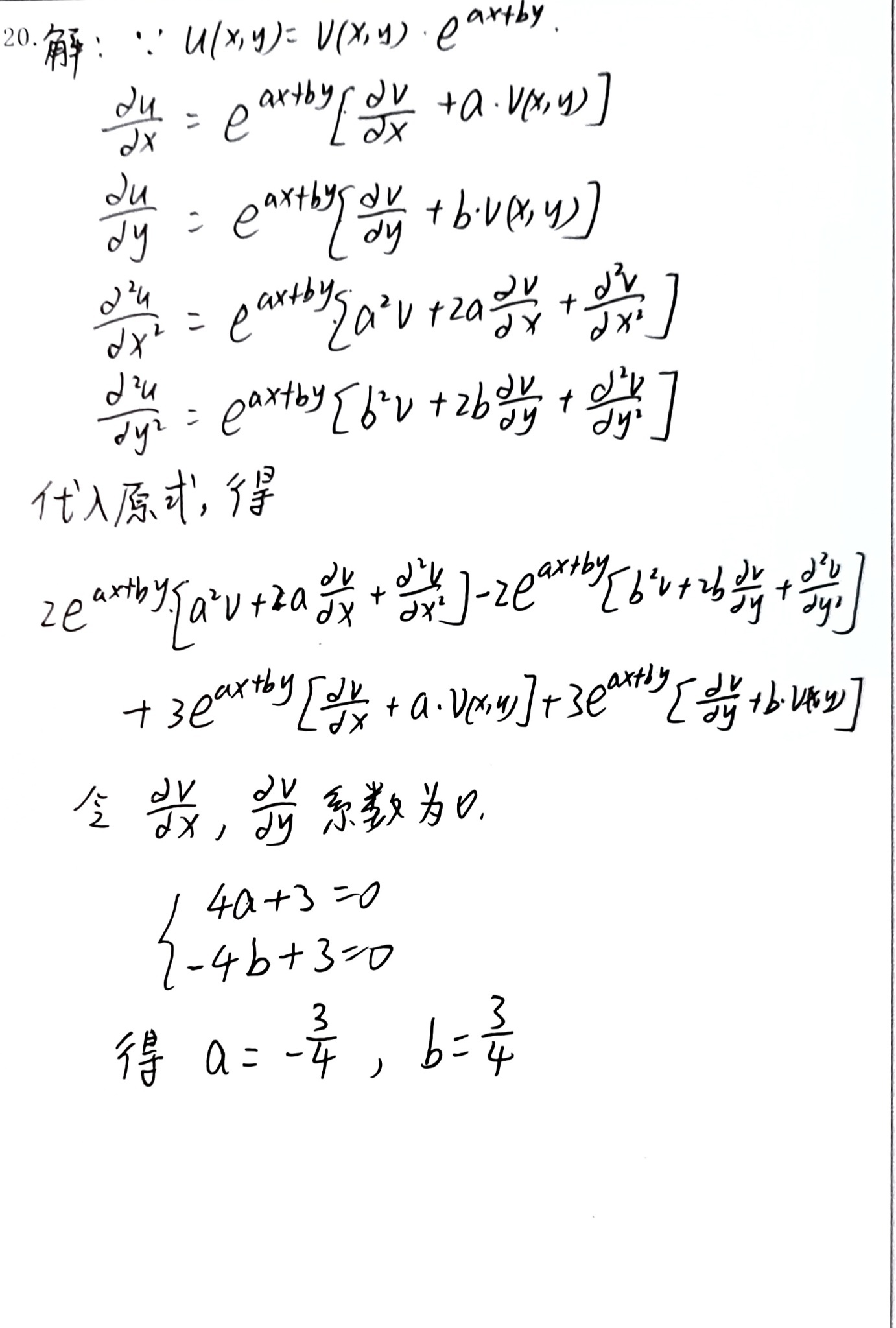
学生作答中,两次识别结果均给出了正确的变换过程和求解步骤。首先正确计算了变换后的一阶和二阶偏导数,然后代入原方程并整理,通过令一阶偏导数项系数为零得到方程组,最终解得 \(a = -\frac{3}{4}, b = \frac{3}{4}\),与标准答案一致。整个过程逻辑清晰,计算正确,没有出现逻辑错误或计算失误。根据打分要求,思路正确且答案正确,应给予满分。

题目总分:11分

登录查看完整内容


登录后发布评论

暂无评论,来抢沙发