文章
225
粉丝
0
获赞
1
访问
11.4k
 

评分及理由
(1)得分及理由(满分6分)
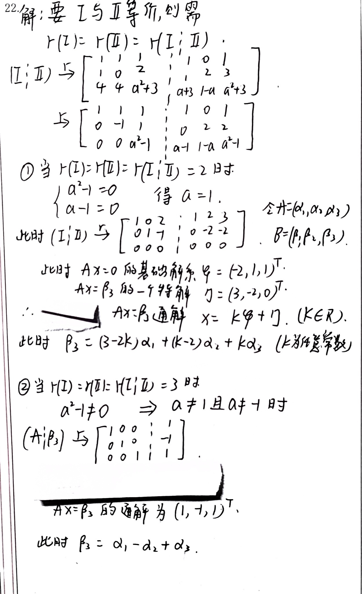
学生正确分析了向量组等价的充要条件(秩相等且等于合并矩阵的秩),并正确进行了初等行变换得到阶梯形矩阵。在讨论秩为2的情况时,正确得出a=1,并给出了β₃用α₁,α₂,α₃线性表示的参数形式。在讨论秩为3的情况时,正确得出a≠±1,并给出了具体的线性表示式。但标准答案中明确指出当a=-1时向量组不等价,而学生在秩为3的讨论中只排除了a=1和a=-1,没有单独说明a=-1的情况,这是一个逻辑上的疏漏。扣1分。
得分:5分
(2)得分及理由(满分5分)
学生在两种情况下都正确地将β₃用α₁,α₂,α₃线性表示:当a=1时给出了带参数k的表示式,当a≠±1时给出了具体系数(1,-1,1)。表示结果与标准答案一致(注意学生答案中的(k-2)与标准答案中的(-2+k)是等价的)。
得分:5分
题目总分:5+5=10分
总分计算说明:本题满分11分,第一部分求a取值占6分,第二部分线性表示占5分。学生在第一部分因未单独讨论a=-1的情况扣1分,其余部分完全正确。
登录后发布评论
暂无评论,来抢沙发