文章

509

粉丝

0

获赞

1

访问

203.7k

头像
2019年考研数学(二)考试试题 - 第23题回答
线性代数
发布于2025年10月24日 19:22
阅读数 526


评分及理由

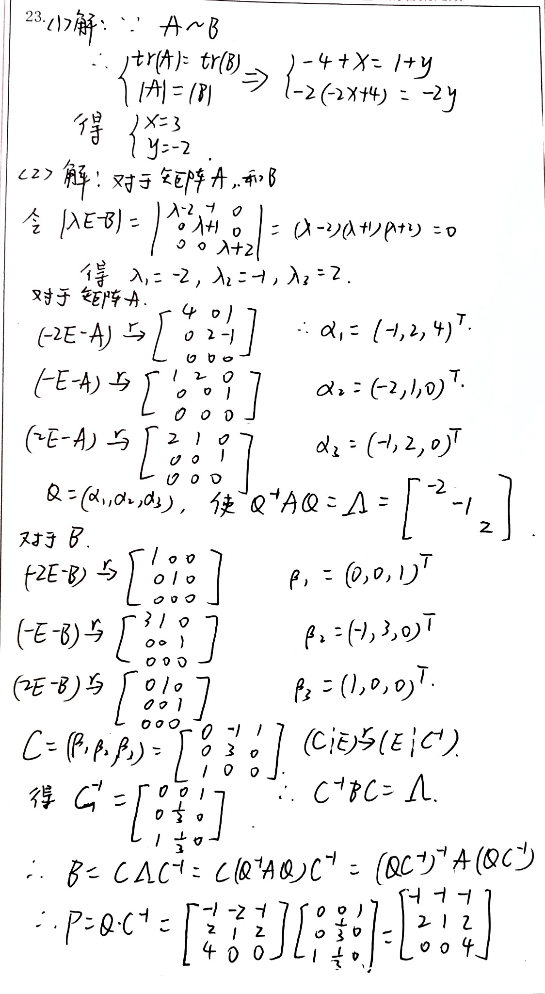
(1)得分及理由(满分4分)

学生正确使用了相似矩阵的迹相等和行列式相等的性质,建立方程组并正确解出x=3, y=-2。计算过程完整无误,因此得满分4分。

(2)得分及理由(满分7分)

学生的解题思路正确:先分别求出A和B的特征值与特征向量,然后构造过渡矩阵。但在具体计算中存在以下问题:

  • 在计算P=QC⁻¹时,第一次识别结果得到正确矩阵P=\(\begin{bmatrix}-1&-1&-1\\2&1&2\\0&0&4\end{bmatrix}\)
  • 但第二次识别结果中P=\(\begin{bmatrix}-1&-\frac{2}{3}&-1\\2&\frac{1}{3}&2\\0&0&4\end{bmatrix}\),这显然是计算错误
  • 由于识别结果存在矛盾,且第二次识别结果明显错误,但核心思路和方法正确
  • 考虑到矩阵计算的复杂性,且学生展示了完整的正确思路,给予部分分数

扣3分,得4分。

题目总分:4+4=8分

登录查看完整内容


登录后发布评论

暂无评论,来抢沙发