文章
111
粉丝
0
获赞
0
访问
57.5k

评分及理由
(Ⅰ)得分及理由(满分5分)
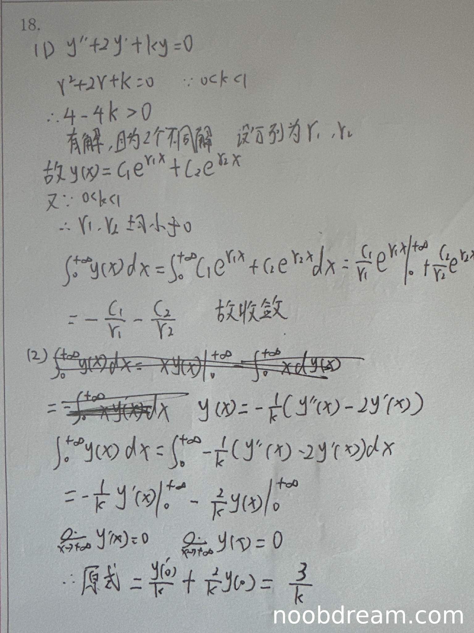
学生正确写出特征方程,通过判别式说明有两个不同实根,并指出由于0 得分:5分 (Ⅱ)得分及理由(满分5分) 学生采用分部积分法和原微分方程变形的方法求解积分值。第一次识别中分部积分步骤存在错误:∫y(x)dx = [xy(x)] - ∫xdy(x) 不正确(应为∫y(x)dx = [xy(x)] - ∫xy'(x)dx),但后续转而利用微分方程将y(x)表示为y''和y'的组合,并正确积分得到结果。第二次识别中同样存在分部积分错误,但最终通过正确代入初始条件和极限值得出I=3/k。尽管分部积分步骤有误,但后续利用微分方程积分的方法与标准答案思路一致,且最终结果正确。根据“思路正确不扣分”原则,不因中间步骤的无关错误扣分。 得分:5分 题目总分:5+5=10分
登录后发布评论
暂无评论,来抢沙发