文章
267
粉丝
0
获赞
20
访问
35.1k


评分及理由
(1)得分及理由(满分10分)
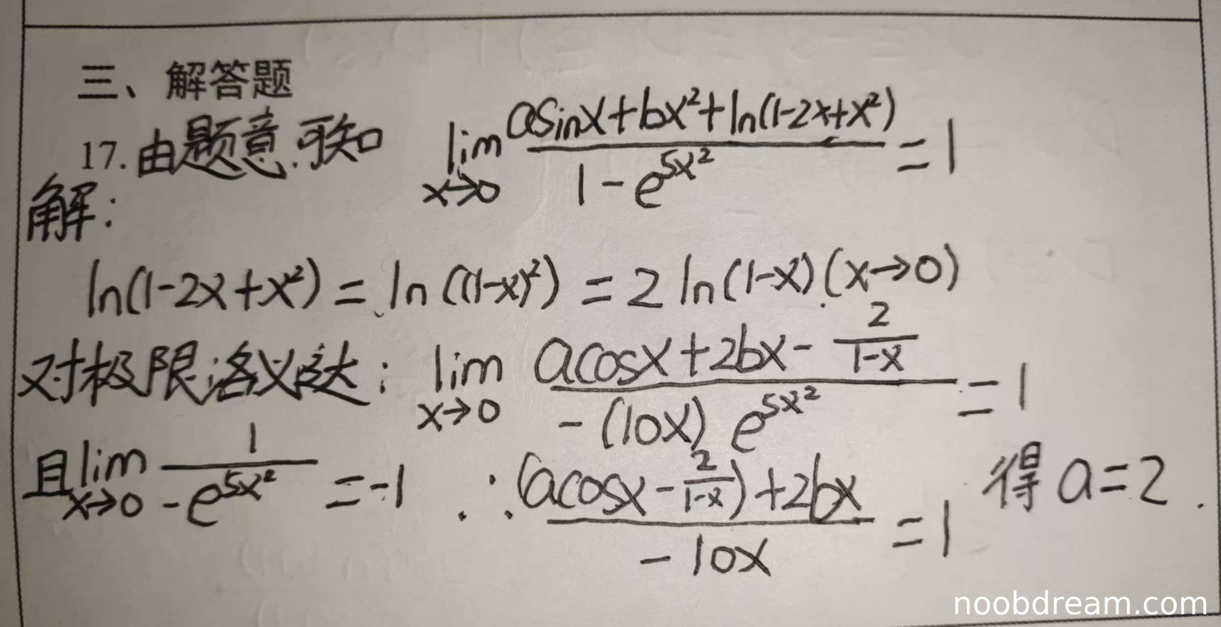
学生作答中,首先正确写出了等价无穷小的极限表达式:\(\lim_{x \to 0} \frac{a\sin x + bx^2 + \ln(1 - 2x + x^2)}{1 - e^{5x^2}} = 1\),这一步正确。
然后学生将\(\ln(1 - 2x + x^2)\)化简为\(2\ln(1 - x)\),这也是正确的。
接下来学生使用洛必达法则求导,分子导数为\(a\cos x + 2bx - \frac{2}{1-x}\),分母导数为\(-10x e^{5x^2}\),这一步求导正确。
但是学生在后续处理中出现了逻辑错误:学生写出\(\lim_{x \to 0} \frac{1}{-e^{5x^2}} = -1\),然后直接得到\(\frac{(a\cos x - \frac{2}{1-x}) + 2bx}{-10x} = 1\),这是不正确的。正确的做法应该是先取极限,而不是直接将表达式相等。
学生最终得到\(a = 2\),这个结果是正确的,但推导过程有误。对于\(b\)的值,学生没有给出计算过程和结果。
由于学生只求出了\(a\)的值且过程有误,没有求出\(b\)的值,根据评分标准,逻辑错误需要扣分。考虑到学生正确写出了极限表达式和部分化简,但主要计算过程有误且未完成全部解答,给予4分。
题目总分:4分
登录后发布评论
暂无评论,来抢沙发