文章
299
粉丝
0
获赞
0
访问
29.4k

评分及理由
(1)得分及理由(满分10分)
学生作答有两个识别版本,我们以第二个识别版本为主进行评分,因为它更清晰完整。
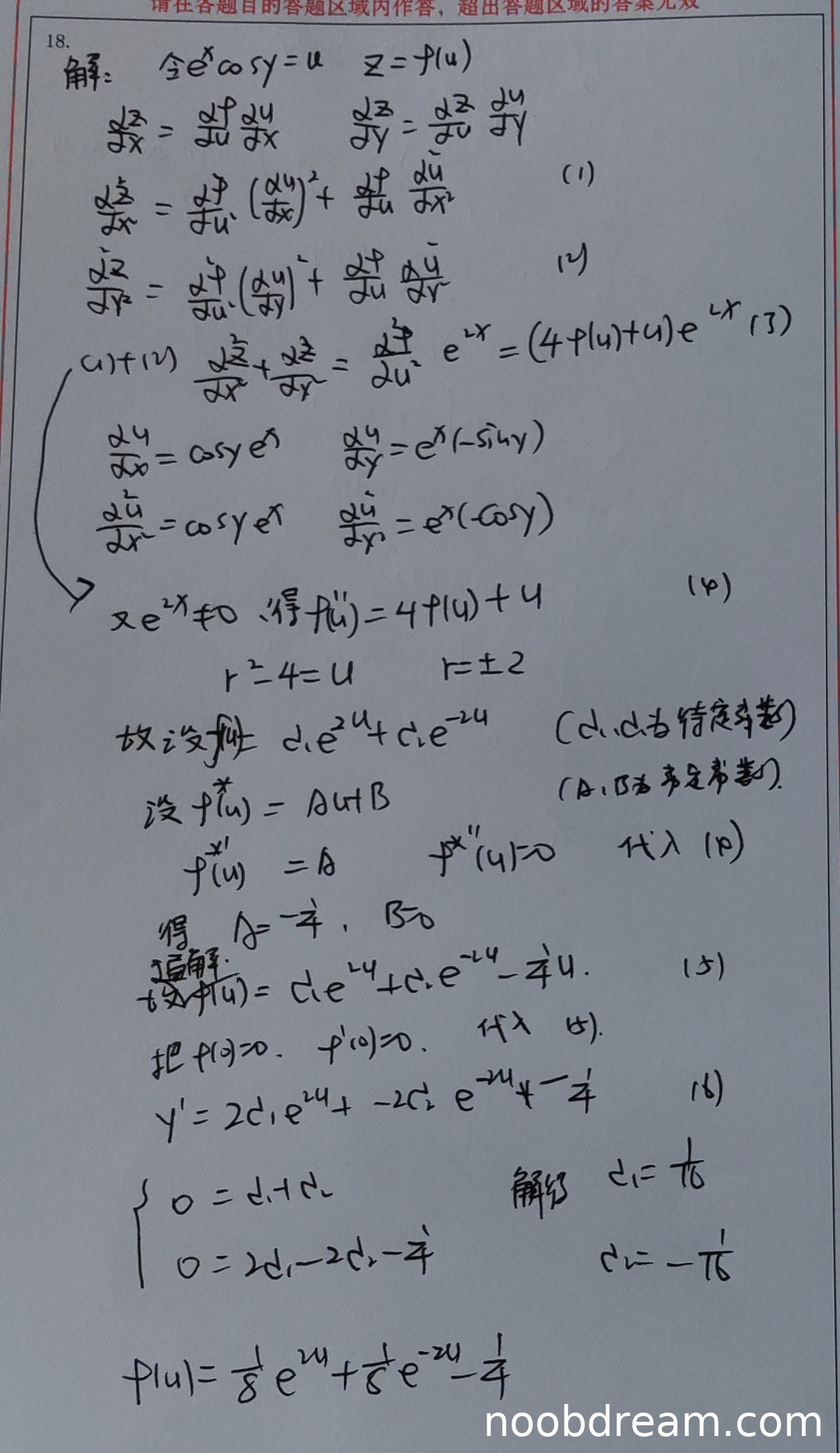
第一步:变量代换和偏导数计算(满分3分)
学生正确进行了变量代换 \( u = e^x \cos y \),并计算了一阶和二阶偏导数。公式(1)和(2)的写法基本正确,但在第一个识别版本中(1)式有误写(应为 \(\frac{d^2f}{du^2}\) 而不是 \(\frac{d^2f}{du}\)),第二个版本已修正。计算 \(\frac{\partial^2 z}{\partial x^2} + \frac{\partial^2 z}{\partial y^2}\) 时,学生得到 \( f''(u)e^{2x} = (4f(u)+u)e^{2x} \),这与标准答案一致。此处可得3分。
第二步:建立并求解微分方程(满分4分)
学生正确得到微分方程 \( f''(u) - 4f(u) = u \)。求解齐次方程的特征方程 \( r^2 - 4 = 0 \) 和通解 \( C_1e^{2u} + C_2e^{-2u} \) 正确。设特解 \( Au + B \) 并代入求解得到 \( A = -\frac{1}{4}, B = 0 \) 也正确。通解 \( f(u) = C_1e^{2u} + C_2e^{-2u} - \frac{1}{4}u \) 正确。此处可得4分。
第三步:利用初始条件确定常数(满分3分)
学生正确计算了 \( f'(u) = 2C_1e^{2u} - 2C_2e^{-2u} - \frac{1}{4} \)。但在代入初始条件时,第一个识别版本错误地使用了 \( f'(0) = 0 \)(应为 \( f'(0) = 1 \)),第二个版本同样错误。这导致方程组解出 \( C_1 = \frac{1}{16}, C_2 = -\frac{1}{16} \),但最终答案应为 \( f(u) = \frac{1}{16}e^{2u} - \frac{1}{16}e^{-2u} - \frac{1}{4}u \)。由于初始条件使用错误,此处扣2分,得1分。
总得分:3 + 4 + 1 = 8分
题目总分:8分
登录后发布评论
暂无评论,来抢沙发