文章

116

粉丝

0

获赞

5

访问

49.5k

头像
2012年考研数学(二)考试试题 - 第16题回答
高等数学
发布于2025年10月26日 10:56
阅读数 493


评分及理由

(1)得分及理由(满分10分)

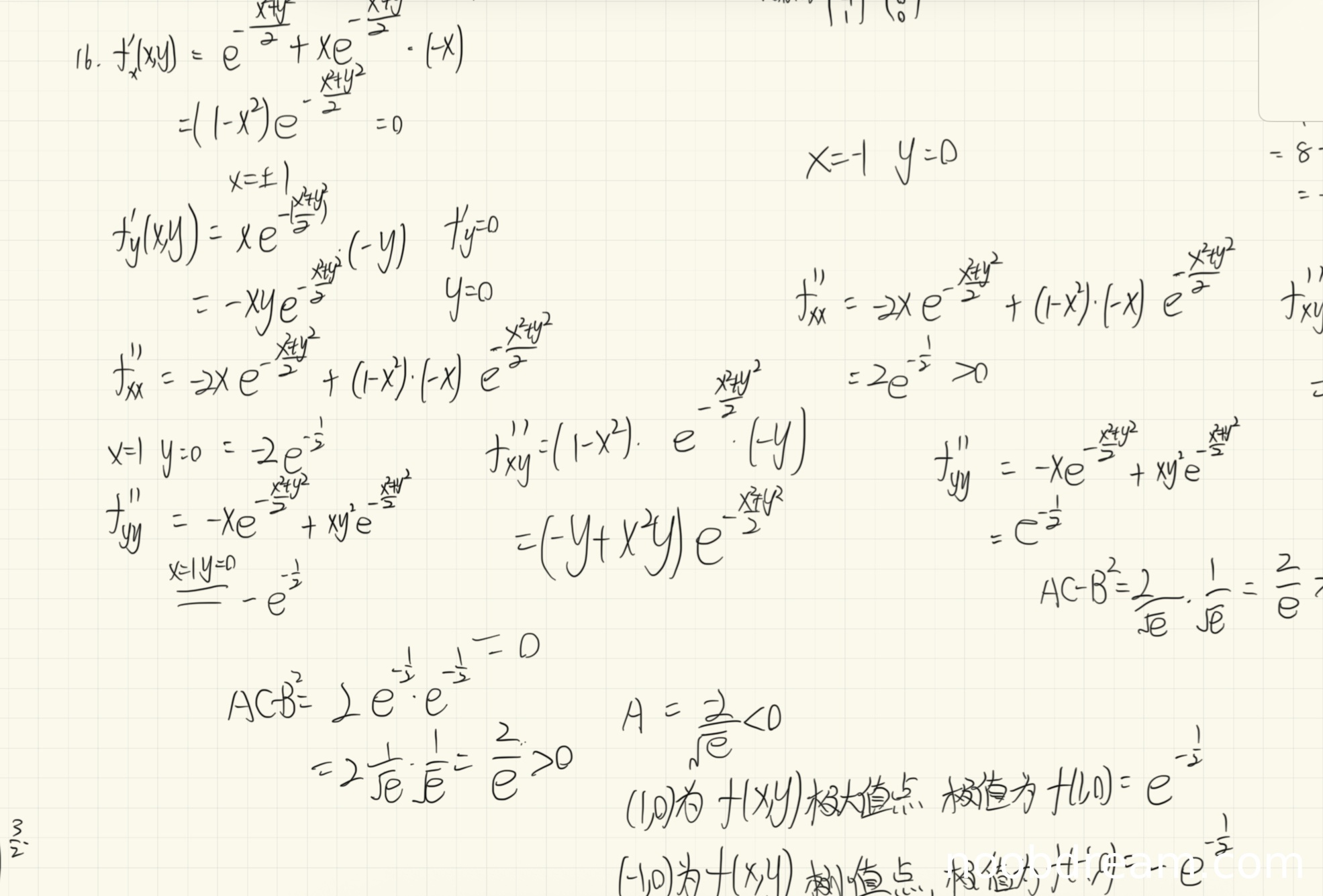
学生作答整体思路正确,按照求多元函数极值的标准步骤进行:先求一阶偏导数并解出驻点,再求二阶偏导数构造Hessian矩阵判别式判断极值类型。具体分析如下:

  • 一阶偏导数计算正确,驻点(1,0)和(-1,0)求解正确
  • 二阶偏导数计算基本正确,但在fxx的表达式中第一次识别结果有误写(2x应为-2x),但第二次识别已修正
  • 极值判别过程正确,使用AC-B²判别法,计算和判断逻辑正确
  • 极值点类型判断和极值计算结果正确

扣分情况:第一次识别中fxx表达式有误写,但第二次识别已修正,根据"只要其中有一次回答正确则不扣分"的原则,不扣分。

得分:10分

题目总分:10分

登录查看完整内容


登录后发布评论

暂无评论,来抢沙发