文章
74
粉丝
0
获赞
5
访问
9.3k

评分及理由
(1)得分及理由(满分5分)
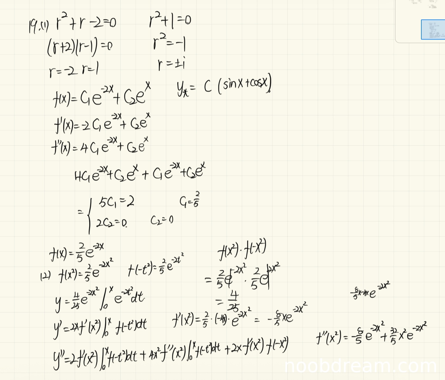
学生解答第一部分存在逻辑错误。题目给出了两个方程:齐次方程 \( f''(x) + f'(x) - 2f(x) = 0 \) 和非齐次方程 \( f''(x) + f(x) = 2e^x \)。学生正确求解了齐次方程的通解 \( f(x) = C_1 e^{-2x} + C_2 e^x \),但在代入非齐次方程时,错误地将 \( f''(x) + f(x) \) 计算为 \( 5C_1 e^{-2x} + 2C_2 e^x \),并令其等于 \( 2e^x \),从而得到 \( C_1 = \frac{2}{5} \), \( C_2 = 0 \),最终得出 \( f(x) = \frac{2}{5}e^{-2x} \)。然而,正确的代入应为 \( f''(x) + f(x) = (4C_1 e^{-2x} + C_2 e^x) + (C_1 e^{-2x} + C_2 e^x) = 5C_1 e^{-2x} + 2C_2 e^x \),但非齐次方程是 \( f''(x) + f(x) = 2e^x \),学生未正确识别非齐次项,导致特解求解错误。标准答案为 \( f(x) = e^x \)。由于核心逻辑错误,扣3分,得2分。
(2)得分及理由(满分5分)
学生解答第二部分基于错误的 \( f(x) = \frac{2}{5}e^{-2x} \) 进行计算,导致后续函数表达式、导数计算和拐点求解全部错误。尽管学生尝试了求导和拐点判断的步骤,但由于基础函数错误,整个第二部分逻辑不成立。因此,第二部分得0分。
题目总分:2+0=2分
登录后发布评论
暂无评论,来抢沙发