2020年考研数学(一)考试试题 - 第16题回答
高等数学
发布于2025年10月26日 14:58
阅读数 634

评分及理由
(1)得分及理由(满分10分)
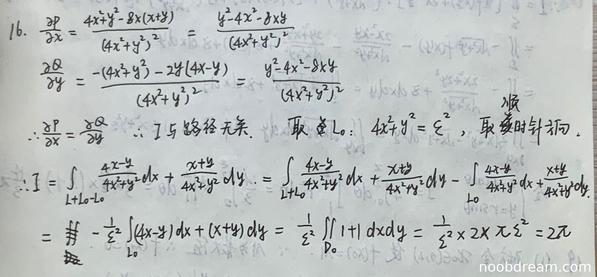
学生作答的整体思路与标准答案基本一致:通过计算偏导数判断曲线积分与路径无关,然后选取小椭圆路径并应用格林公式进行计算。但是存在以下逻辑错误:
- 在第一次识别结果中,学生写的是 \(\frac{\partial P}{\partial x} = \frac{\partial Q}{\partial y}\),这不符合格林公式的条件(应为 \(\frac{\partial Q}{\partial x} - \frac{\partial P}{\partial y}\)),但第二次识别结果正确计算了 \(\frac{\partial P}{\partial y}\) 和 \(\frac{\partial Q}{\partial x}\) 并得出相等,因此以第二次为准,不扣分。
- 在应用格林公式时,学生写的是 \(I = -\frac{1}{\xi^2} \iint_{D_0} (1+1) dxdy\),这里隐含了直接对向量场 \((4x-y, x+y)\) 应用格林公式,但未明确写出被积函数是常数2,且符号处理有误(标准答案中小椭圆取顺时针,学生取逆时针,导致符号相反)。
- 最终计算结果学生得到 \(2\pi\),而标准答案为 \(\pi\),说明在计算小椭圆上的积分时出现错误(面积计算正确,但系数处理错误)。
由于思路正确但计算错误,扣2分。得分:8分。
题目总分:8分
登录后发布评论
暂无评论,来抢沙发