文章
111
粉丝
0
获赞
0
访问
33.7k

评分及理由
(1)得分及理由(满分5分)
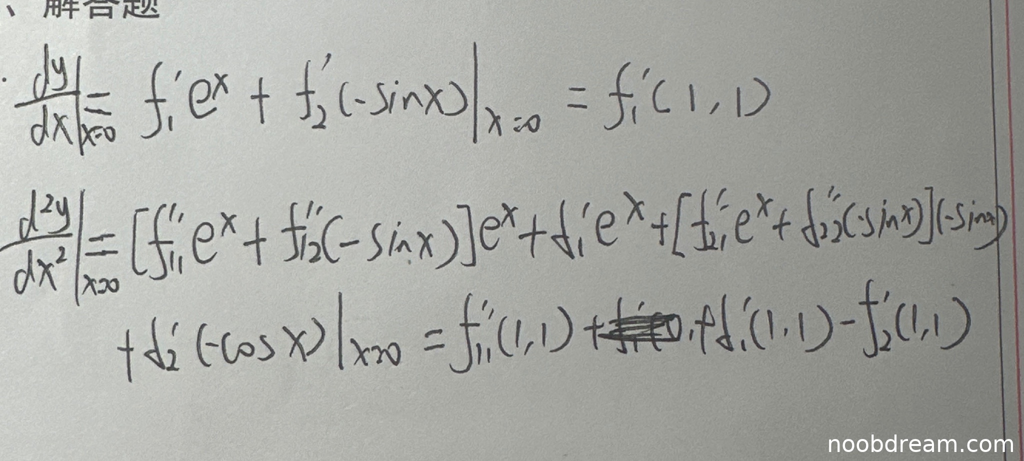
学生正确应用了链式法则,写出了一阶导数表达式 \(\frac{dy}{dx} = f_1' e^x + f_2' (-\sin x)\),并在 \(x=0\) 时正确代入得到 \(\left.\frac{dy}{dx}\right|_{x=0} = f_1'(1,1)\)。结果与标准答案完全一致,且推导过程清晰。因此得5分。
(2)得分及理由(满分5分)
学生在二阶导数计算中,正确对一阶导数表达式再次求导,应用了乘积法则和链式法则,得到: \[ \frac{d^2y}{dx^2} = [f_{11}'' e^x + f_{12}'' (-\sin x)] e^x + f_1' e^x + [f_{21}'' e^x + f_{22}'' (-\sin x)] (-\sin x) + f_2' (-\cos x) \] 代入 \(x=0\) 后得到 \(\left.\frac{d^2y}{dx^2}\right|_{x=0} = f_{11}''(1,1) + f_1'(1,1) - f_2'(1,1)\)。虽然表达式中 \(f_{12}''\) 和 \(f_{21}''\) 项在代入后消失(因为 \(\sin 0 = 0\)),且学生正确利用了 \(f\) 具有二阶连续偏导数的条件(即 \(f_{12}'' = f_{21}''\)),最终结果与标准答案一致。但标准答案中显式写出了所有项,而学生答案在代入前表达式完整,代入后结果正确,因此不扣分。得5分。
题目总分:5+5=10分
登录后发布评论
暂无评论,来抢沙发