文章

509

粉丝

0

获赞

1

访问

204.2k

头像
2025年张宇终极预测8套卷(二) - 第18题回答
高等数学
发布于2025年10月26日 23:31
阅读数 517


评分及理由

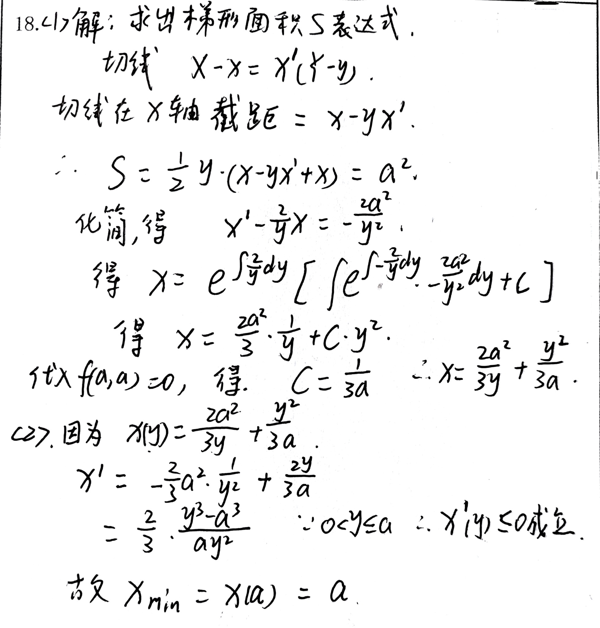
(1)得分及理由(满分6分)

学生正确建立了切线方程,并求出了切线在X轴上的截距。梯形面积表达式正确,推导出的微分方程形式正确。解微分方程的过程基本正确,得到了通解形式。利用条件f(a,a)=0确定了常数C,最终得到了正确的曲线方程x=2a²/(3y)+y²/(3a)。整个过程逻辑清晰,计算正确。得6分。

(2)得分及理由(满分6分)

学生正确写出了x关于y的函数表达式,并求导得到x'。注意到在定义域0

题目总分:6+6=12分

登录查看完整内容


登录后发布评论

暂无评论,来抢沙发