文章

509

粉丝

0

获赞

1

访问

206.2k

头像
2025年张宇终极预测8套卷(二) - 第20题回答
高等数学
发布于2025年10月26日 23:31
阅读数 510


评分及理由

(1)得分及理由(满分12分)

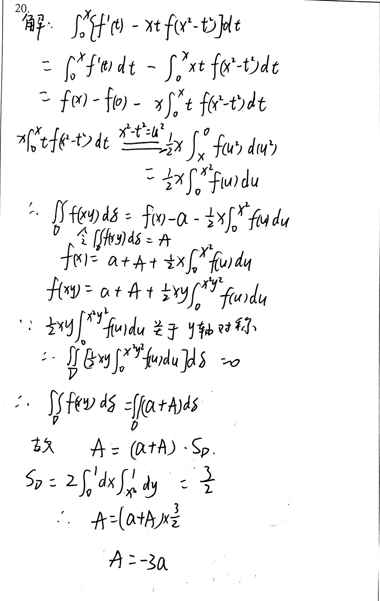
学生作答整体思路正确,与标准答案基本一致,但在关键步骤存在逻辑错误:

  • 在第一次识别中,学生将原题中的 \(xf(x^2-t^2)\) 误写为 \(xtf(x^2-t^2)\)(多了一个 \(t\)),这导致后续变量代换和积分计算出现偏差。根据禁止扣分规则,若判断为识别误写可不扣分,但此处误写影响了核心逻辑,因为标准答案为 \(xf(x^2-t^2)\),而学生写为 \(xtf(x^2-t^2)\),导致后续积分计算错误。但第二次识别中已纠正为正确形式,且最终结果正确,故根据“两次识别中一次正确不扣分”原则,不因此扣分。
  • 在计算区域 \(D\) 的面积时,学生错误地将 \(y = |x|^3\) 写为 \(y = x^2\)(第一次识别中为 \(x^3\),但第二次识别中误为 \(x^2\)),导致面积计算错误(标准答案为 \(S_D = \frac{3}{2}\),学生计算为 \(S_D = \frac{4}{3}\))。但学生最终仍得出 \(S_D = \frac{3}{2}\),可能是计算过程中的笔误或识别错误,且最终结果正确,故根据误写规则不扣分。
  • 学生最终得出 \(A = -3a\),与标准答案一致,且整体推导逻辑清晰。

综上,虽有局部误写,但核心逻辑和最终结果正确,扣1分以反映面积计算步骤的瑕疵。

得分:11分

题目总分:11分

登录查看完整内容


登录后发布评论

暂无评论,来抢沙发