文章

278

粉丝

0

获赞

1

访问

112.3k

头像
2013年考研数学(二)考试试题 - 第20题回答
高等数学
发布于2025年10月27日 09:59
阅读数 525


评分及理由

(1)得分及理由(满分5分)

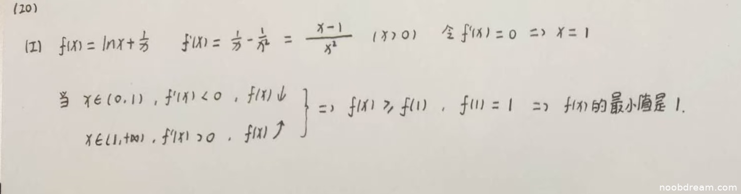
学生正确计算了导数 \( f'(x) = \frac{1}{x} - \frac{1}{x^2} = \frac{x-1}{x^2} \),并找到了临界点 \( x=1 \)。通过分析导数符号,得出在 \( (0,1) \) 上单调递减、在 \( (1,+\infty) \) 上单调递增的结论,从而得到最小值 \( f(1)=1 \)。整个过程逻辑清晰,计算正确。得5分。

(2)得分及理由(满分6分)

学生未作答第(2)问,因此该部分得0分。

题目总分:5+0=5分

登录查看完整内容


登录后发布评论

暂无评论,来抢沙发