文章
278
粉丝
0
获赞
0
访问
38.4k

评分及理由
(1)得分及理由(满分5.5分)
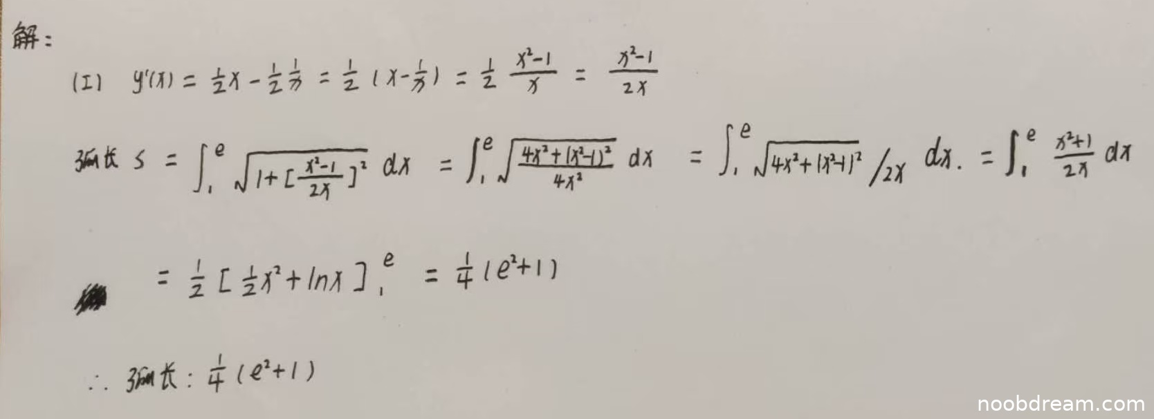
学生正确计算了导数 y'(x) = (x/2) - (1/(2x)),并正确应用了弧长公式。在化简过程中,学生写出了: ∫₁ᵉ√[1+((x²-1)/(2x))²]dx = ∫₁ᵉ√[(4x²+(x²-1)²)/(4x²)]dx 然后直接得到 ∫₁ᵉ(x²+1)/(2x)dx,这步跳过了关键的化简步骤,但最终结果正确。 计算积分 ∫₁ᵉ(x²+1)/(2x)dx = (1/2)∫₁ᵉ(x + 1/x)dx = (1/2)[(1/2)x² + lnx]₁ᵉ = (1/4)(e²+1) 最终结果与标准答案完全一致。虽然中间步骤有跳跃,但思路正确且结果正确,不扣分。
得分:5.5分
(2)得分及理由(满分5.5分)
学生作答中只完成了第(1)问弧长的计算,没有回答第(2)问关于形心横坐标的计算。根据题目要求,第(2)问需要计算形心的横坐标,但学生作答中完全没有涉及这部分内容。
得分:0分
题目总分:5.5+0=5.5分
登录后发布评论
暂无评论,来抢沙发