文章
165
粉丝
0
获赞
10
访问
15.9k

评分及理由
(1)得分及理由(满分4分)
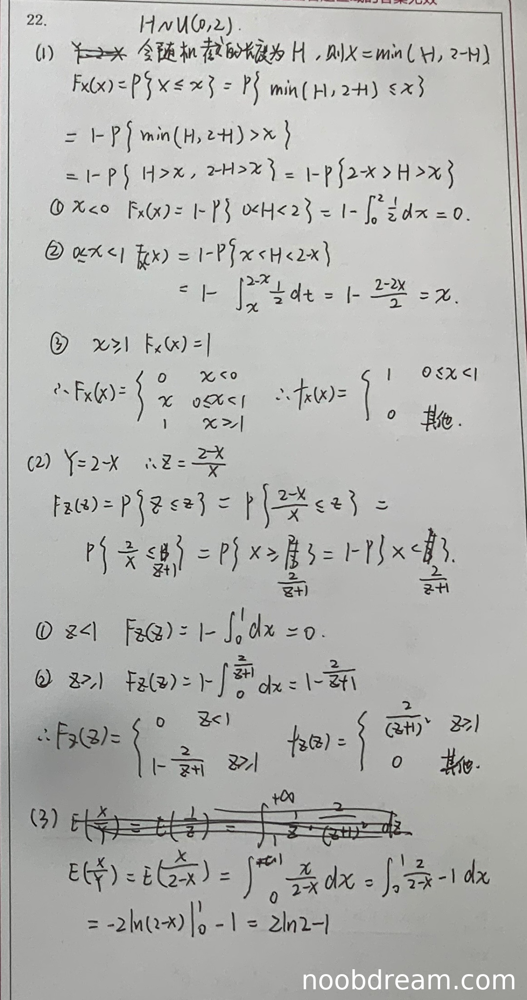
学生正确推导了X的分布函数和概率密度函数,思路与标准答案一致。虽然分布函数表达中使用了闭区间(如0≤x<1),但概率密度函数在端点处的定义不影响积分结果,且最终密度函数与标准答案一致。因此不扣分,得4分。
(2)得分及理由(满分4分)
学生正确推导了Z的分布函数和概率密度函数,思路与标准答案完全一致。虽然概率密度函数表达中使用了z≥1(标准答案为z>1),但在连续型随机变量中单点不影响概率,且最终结果正确。因此不扣分,得4分。
(3)得分及理由(满分4分)
学生正确计算了E(X/Y),计算过程完整,最终结果与标准答案一致。虽然积分推导过程中写的是-2ln(2-x)|₀¹,实际计算时应该是2ln(2-x)|₁⁰,但最终数值结果正确,这可能是书写习惯问题。因此不扣分,得4分。
题目总分:4+4+4=12分
登录后发布评论
暂无评论,来抢沙发