文章
268
粉丝
0
获赞
0
访问
101.9k

评分及理由
(1)得分及理由(满分10分)
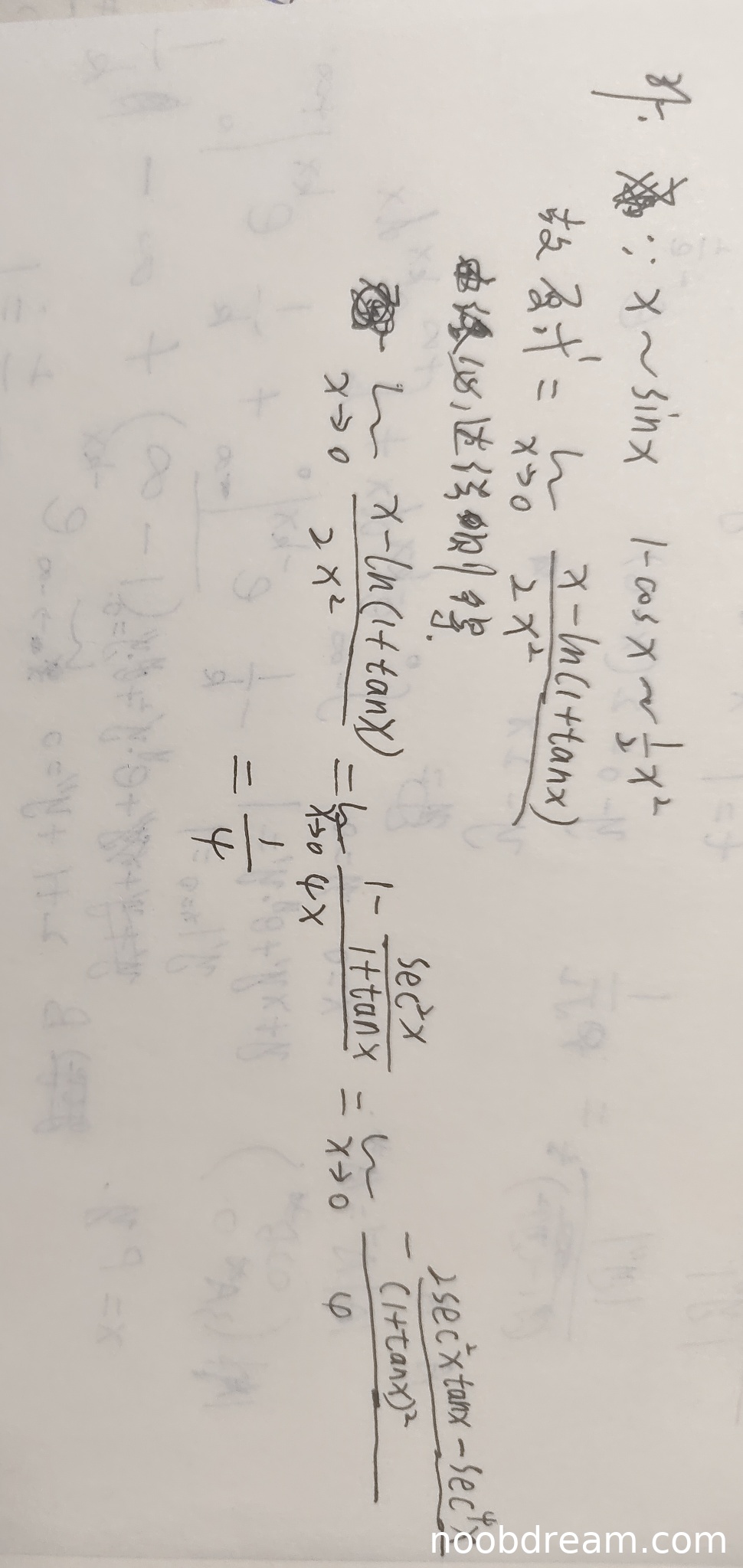
学生作答整体思路正确,使用了等价无穷小替换和洛必达法则求解极限。在第一步中,学生正确将1-cosx替换为1/2 x²,并将sin⁴x替换为x⁴(利用sinx~x),从而将原式化简为lim(x→0)(x-ln(1+tanx))/(2x²)。
在第二步中,学生正确识别出这是0/0型未定式,应用洛必达法则求导。分子导数计算正确为1-sec²x/(1+tanx),分母导数正确为4x。后续化简过程中,学生正确将sec²x写为1+tan²x,并进行代数化简。
最后一步中,学生利用tanx~x进行替换,并正确计算出极限值为1/4。
虽然学生的最终答案与标准答案一致,但在第一步化简时存在一个错误:原式分母是sin⁴x,学生应该先将其替换为x⁴,然后与分子的1/2 x²相消得到1/(2x²),但学生在文字描述中直接写成了lim(x→0)(x-ln(1+tanx))/(2x²),这个表述不够严谨。不过从后续计算可以看出学生理解了这个化简过程。
由于核心思路正确,计算过程完整,最终结果正确,仅因表述不够严谨扣1分。
得分:9分
题目总分:9分
登录后发布评论
暂无评论,来抢沙发